ЕГЭ и ОГЭ
Главная

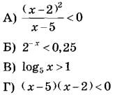
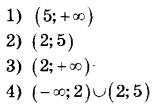
Решение 2552. Каждому из четырёх неравенств в левом столбце соответствует одно из решений в правом столбце. Установите соответствие между неравенствами и их решениями.

Задание 17. Каждому из четырёх неравенств в левом столбце соответствует одно из решений в правом столбце. Установите соответствие между неравенствами и их решениями.

НЕРАВЕНСТВА

РЕШЕНИЯ

Решение.

Решим неравенства:

А) Запишем ОДЗ:. Числитель всегда больше 0 кроме значения , которое следует исключить из решения. Получаем, что отрицательные величины будут образовываться при

С учетом ограничений, имеем:

Решение под номером 4.

Б) Преобразуем и решим неравенство:

Решение под номером 3.

В) Запишем ОДЗ: . Преобразуем и вычислим неравенство:

С учетом ОДЗ, получаем решение:

Решение под номером 1.

Г) Выражение  верно при следующих исходах:

1), то есть, ;

2), то есть, .

Решение под номером 2.

Ответ: 4312


Другие задания:

Темы раздела

Для наших пользователей доступны следующие материалы: