ЕГЭ и ОГЭ
Главная

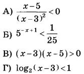
Решение 2452. Каждому из четырёх неравенств в левом столбце соответствует одно из решений в правом столбце. Установите соответствие между неравенствами и их решениями.

Задание 17. Каждому из четырёх неравенств в левом столбце соответствует одно из решений в правом столбце. Установите соответствие между неравенствами и их решениями.

НЕРАВЕНСТВА

РЕШЕНИЯ

Решение.

Решим неравенства:

А) Запишем ОДЗ: . Получим решение:

С учетом ОДЗ, имеем:

Решение под номером 2.

Б) Преобразуем и решим неравенство:

Решение под номером 4.

В) Выражение  верно при следующих исходах:

1) , то есть, ;

2) , то есть, .

Объединяя эти неравенства, получаем общее решение:

Решение под номером 1.

Г) Запишем ОДЗ: . Преобразуем и вычислим неравенство:

С учетом ОДЗ, получаем решение:

Решение под номером 3.

Ответ: 2413


Другие задания:

Темы раздела

Для наших пользователей доступны следующие материалы: