| < Предыдущий | Следующий > |
1 | Файл размером 8,4 Гбайт скачался за 49 секунд (скорость загрузки считайте постоянной). За сколько секунд скачается файл размером 36 Гбайт, если скорость загрузки останется прежней?
|
2 | Установите соответствие между величинами и их возможными значениями: к каждому элементу первого столбца подберите соответствующий элемент из второго столбца.
|
3 | На диаграмме показан курс казахского тенге, установленный Центробанком РФ, на все рабочие дни января 2022 года. По горизонтали указаны числа января, по вертикали — цена 100 казахских тенге в рублях.
Определите по диаграмме, какого числа в период с 20 по 31 января курс казахского тенге был наименьшим.
|
4 | Мощность постоянного тока (в ваттах) вычисляется по формуле
|
5 | В чемпионате по гимнастике участвуют 32 спортсменки: 8 из Норвегии, 12 из Дании, остальные из Швеции. Порядок, в котором выступают гимнастки, определяется жребием. Найдите вероятность того, что спортсменка, выступающая первой, окажется из Швеции.
|
6 | Строительный подрядчик планирует купить 20 тонн облицовочного кирпича у одного из трёх поставщиков. Один кирпич весит 5 кг. Цена кирпича и условия доставки всей покупки приведены в таблице.
Во сколько рублей обойдётся наиболее дешёвый вариант покупки с доставкой?
|
7 | На рисунке показана цена акции компании на момент закрытия биржевых торгов во все рабочие дни в период с 12 по 27 марта 2013 года. По горизонтали указываются числа месяца, по вертикали — цена акции в рублях за штуку. Для наглядности точки соединены линией.
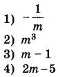
Пользуясь рисунком, поставьте в соответствие каждому из указанных периодов времени характеристику изменения цены акции в этот период.
|
8 | Каждый раз, когда Надя приезжает в деревню к бабушке в гости, бабушка заплетает ей косички. Также Надя заплетает себе косички всегда, когда идёт на физкультуру. Выберите утверждения, которые верны при приведённых условиях. 1) Если Надя без косичек, значит, она не у бабушки в гостях. 2) Каждый раз, когда у Нади заплетены косички, она находится в деревне. 3) Если Надя без косичек, значит, сегодня физкультура. 4) Когда Надя сдаёт норматив по бегу на физкультуре, она с косичками.
|
9 | План местности разбит на клетки. Каждая клетка обозначает квадрат 1 м x 1 м. Найдите площадь участка, выделенного на плане. Ответ дайте в квадратных метрах.
|
10 | Два садовода, имеющие прямоугольные участки размерами 35 м на 40 м с общей границей, договорились и сделали общий круглый пруд площадью 280 квадратных метров (см. чертёж), причём граница участков проходит точно через центр пруда. Какова площадь (в квадратных метрах) оставшейся части участка каждого садовода?
|
11 | Высота бака цилиндрической формы равна 60 см, а площадь его основания равна 150 квадратным сантиметрам. Чему равен объём этого бака (в литрах)? В одном литре 1000 кубических сантиметров.
|
12 | На окружности по разные стороны от диаметра АВ отмечены точки D и С. Известно, что угол DBA = 32°. Найдите угол DCB. Ответ дайте в градусах.
|
13 | Даны два конуса. Радиус основания и образующая первого конуса равны соответственно 7 и 9, а второго — 5 и 7. Во сколько раз площадь боковой поверхности первого конуса больше площади боковой поверхности второго?
|
14 | Найдите значение выражения
|
15 | В выборах участвовали два кандидата. Голоса избирателей распределились между ними в отношении 7 : 13. Сколько процентов голосов было отдано за победителя?
|
16 | Найдите значение выражения
|
17 | Найдите корень уравнения
|
18 | На координатной прямой отмечено число m и точки A, B, C и D.
Каждой точке соответствует одно из чисел в правом столбце. Установите соответствие между указанными точками и числами.
|
19 | Найдите семизначное натуральное число, которое записывается только цифрами 1 и 2 и делится на 72. В ответе укажите какое-нибудь одно такое число.
|
20 | Два человека отправляются из одного дома на прогулку до опушки леса, находящейся в 5,3 км от дома. Один идёт со скоростью 2,5 км/ч, а другой — со скоростью 2,8 км/ч. Дойдя до опушки, второй с той же скоростью возвращается обратно. На каком расстоянии от дома произойдёт их встреча? Ответ дайте в километрах.
|
21 | В таблице три столбца и несколько строк. В каждую клетку таблицы вписали по натуральному числу так, что сумма всех чисел в первом столбце равна 224, во втором — 193, в третьем — 162, а сумма чисел в каждой строке больше 20, но меньше 23. Сколько всего строк в таблице?
|
| Авторизация через | ![]() |
Сборник предназначен для самостоятельной подготовки к выпускным экзаменам. Благодаря тестовым заданиям из открытого банка заданий, вы можете проверить свои знания и определить, насколько подготовлены к соответствующим экзаменам. Также этот сборник будет полезен учителям, которые могут использовать его для контроля результатов освоения школьниками образовательных программ основного общего образования и интенсивной подготовки учащихся.
При выполнении заданий на экзаменах можно пользоваться черновиком. Записи в черновике не учитываются при оценивании работы. Баллы, полученные Вами за выполненные задания, суммируются. Постарайтесь выполнить как можно больше заданий и набрать наибольшее количество баллов.
Желаем успехов при сдаче экзаменов!
| < Предыдущий | Следующий > |