| < Предыдущий | Следующий > |
1 | Файл размером 6,75 Гбайт скачался за 9 минут (скорость загрузки считайте постоянной). За сколько минут скачается файл размером 9,75 Гбайт, если скорость загрузки останется прежней?
|
2 | Установите соответствие между величинами и их возможными значениями: к каждому элементу первого столбца подберите соответствующий элемент из второго столбца.
|
3 | На диаграмме показан курс доллара США, установленный Центробанком РФ, на все рабочие дни января 2022 года. По горизонтали указаны числа января, по вертикали — цена 1 доллар США в рублях.
Определите по диаграмме, какого числа в период с 10 по 24 января курс доллара США был наибольшим.
|
4 | Мощность постоянного тока (в ваттах) вычисляется по формуле
|
5 | В чемпионате по гимнастике участвуют 50 спортсменок: 24 из США, 13 из Мексики, остальные из Канады. Порядок, в котором выступают гимнастки, определяется жребием. Найдите вероятность того, что спортсменка, выступающая первой, окажется из Канады.
|
6 | Строительный подрядчик планирует купить 20 тонн облицовочного кирпича у одного из трёх поставщиков. Один кирпич весит 5 кг. Цена кирпича и условия доставки всей покупки приведены в таблице.
Во сколько рублей обойдётся наиболее дешёвый вариант покупки с доставкой?
|
7 | На рисунке точками показана среднесуточная температура воздуха в Челябинске в апреле 2012 года. По горизонтали указываются числа месяца, по вертикали — температура в градусах Цельсия. Для наглядности точки соединены линией.
Пользуясь рисунком, поставьте в соответствие каждому из указанных периодов времени характеристику изменения температуры.
|
8 | В 9 «Б» классе география по расписанию по средам и пятницам. Каждый ученик должен приносить атлас на каждый урок географии. Выберите утверждения, которые верны при приведённых условиях. 1) В среду Маше из 9 «Б» надо принести в школу атлас. 2) Всякий день, когда ученик 9 «Б» берёт с собой в школу атлас, является пятницей. 3) По четвергам ученикам 9 «Б» не надо брать в школу географический атлас. 4) В каждый день, отличный от среды, ученикам 9 «Б» атлас можно в школу не брать.
|
9 | План местности разбит на клетки. Каждая клетка обозначает квадрат 1мх 1м. Найдите площадь участка, выделенного на плане. Ответ дайте в квадратных метрах.
|
10 | Два садовода, имеющих прямоугольные участки размерами 24 м на 30 м с общей границей, договорились и сделали общий круглый пруд площадью 140 квадратных метров (см. чертёж), причём граница участков проходит точно через центр пруда. Какова площадь (в квадратных метрах) оставшейся части участка каждого садовода?
|
11 | Высота бака цилиндрической формы равна 40 см, а площадь его основания равна 150 квадратным сантиметрам. Чему равен объём этого бака (в литрах)? В одном литре 1000 кубических сантиметров.
|
12 | На окружности по разные стороны от диаметра АВ отмечены точки D и С. Известно, что угол DBA = 73°. Найдите угол DCB. Ответ дайте в градусах.
|
13 | Даны два конуса. Радиус основания и образующая первого конуса равны соответственно 5 и 6, а второго — 3 и 4. Во сколько раз площадь боковой поверхности первого конуса больше площади боковой поверхности второго?
|
14 | Найдите значение выражения
|
15 | Число хвойных деревьев в парке относятся к числу лиственных как 9 : 16. Других деревьев в парке нет. Сколько процентов деревьев в парке составляют лиственные?
|
16 | Найдите значение выражения
|
17 | Найдите корень уравнения
|
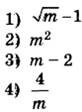
18 | На координатной прямой отмечено число m и точки А, В, С и D.
Каждой точке соответствует одно из чисел в правом столбце. Установите соответствие между указанными точками и числами.
|
19 | Найдите шестизначное натуральное число, которое записывается только цифрами 2 и 0 и делится на 120. В ответе укажите какое-нибудь одно такое число.
|
20 | Два человека отправляются из одного дома на прогулку до опушки леса, находящейся в 2,6 км от дома. Один идёт со скоростью 3 км/ч, а другой — со скоростью 4,8 км/ч. Дойдя до опушки, второй с той же скоростью возвращается обратно. На каком расстоянии от дома произойдёт их встреча? Ответ дайте в километрах.
|
21 | В таблице три столбца и несколько строк. В каждую клетку таблицы вписали по натуральному числу так, что сумма всех чисел в первом столбце равна 148, во втором — 108, в третьем — 70, а сумма чисел в каждой строке больше 26, но меньше 29. Сколько всего строк в таблице?
|
| Авторизация через | ![]() |
Сборник предназначен для самостоятельной подготовки к выпускным экзаменам. Благодаря тестовым заданиям из открытого банка заданий, вы можете проверить свои знания и определить, насколько подготовлены к соответствующим экзаменам. Также этот сборник будет полезен учителям, которые могут использовать его для контроля результатов освоения школьниками образовательных программ основного общего образования и интенсивной подготовки учащихся.
При выполнении заданий на экзаменах можно пользоваться черновиком. Записи в черновике не учитываются при оценивании работы. Баллы, полученные Вами за выполненные задания, суммируются. Постарайтесь выполнить как можно больше заданий и набрать наибольшее количество баллов.
Желаем успехов при сдаче экзаменов!
| < Предыдущий | Следующий > |