ЕГЭ и ОГЭ
Главная

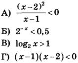
Решение 3153. Каждому из четырёх неравенств в левом столбце соответствует одно из решений в правом столбце. Установите соответствие между неравенствами и их решениями.

Задание 18. Каждому из четырёх неравенств в левом столбце соответствует одно из решений в правом столбце. Установите соответствие между неравенствами и их решениями.

НЕРАВЕНСТВА

РЕШЕНИЯ

Решение.

А) Числитель неравенства всегда больше или равен нулю. Строго больше нуля он равен при . Общее неравенство будет меньше нуля при:

Соответствует решению под номером 4.

Б) Решим неравенство:

Соответствует решению под номером 2.

В) Решим неравенство:

Соответствует решению под номером 3.

Г) Неравенство выполняется, когда знаки множителей не совпадают:

или

Соответствует решению под номером 1.

Ответ: 4231


Другие задания:

Темы раздела

Для наших пользователей доступны следующие материалы: