ЕГЭ и ОГЭ
Главная

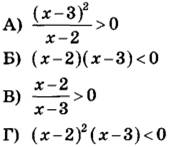
Решение 2853. Каждому из четырёх неравенств в левом столбце соответствует одно из решений в правом столбце. Установите соответствие между неравенствами и их решениями.

Задание 18. Каждому из четырёх неравенств в левом столбце соответствует одно из решений в правом столбце. Установите соответствие между неравенствами и их решениями.

НЕРАВЕНСТВА

РЕШЕНИЯ

Решение.

А) ОДЗ неравенства . Числитель неравенства может быть , причем строго больше нуля только при . Чтобы неравенство выполнялось, знаменатель также должен быть строго больше нуля:

Получаем решение от 2 до +∞, исключая значение 3. Решение под номером 2.

Б) Неравенство  имеет две точки 2 и 3, в которых оно принимает значение 0. А строго меньше нуля оно может быть, когда знаки множителей не совпадают:

или

Решение под номером 3.

В) Неравенство будет строго больше нуля, если знаки в числителе и знаменателе совпадают:

или

Решение под номером 1.

Г) Неравенство  будет строго меньше нуля, если вторая скобка будет отрицательной, а первая не равна нулю, то есть :

Решение под номером 4.

Ответ: 2314


Другие задания:

Темы раздела

Для наших пользователей доступны следующие материалы: