ЕГЭ и ОГЭ
Главная

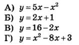
Решение 2942. Установите соответствие между формулами, которые задают функции, и характеристиками этих функций.

Задание 7. Установите соответствие между формулами, которые задают функции, и характеристиками этих функций.

ФОРМУЛЫ

ХАРАКТЕРИСТИКИ

1) функция убывающая

2) функция имеет точку максимума

3) функция имеет точку минимума

4) функция возрастающая

Решение.

А) График параболы, ветви направлены вниз, имеем одну точку максимума. Характеристика под номером 2.

Б) График прямой, всюду возрастающей (угловой коэффициент k > 0). Характеристика под номером 4.

В) График прямой, всюду убывающей (угловой коэффициент k < 0). Характеристика под номером 1.

А) Это график параболы, ветви направлены вверх, имеем одну точку минимума. Характеристика под номером 3.

Ответ: 2413


Другие задания:

Темы раздела

Для наших пользователей доступны следующие материалы: