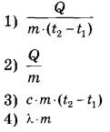
Задание 2. Установите соответствие между названиями физических величин и формулами для расчёта этих величин. В формулах использованы обозначения: t — температура; Q — количество теплоты; m — масса тела; c — удельная теплоёмкость тела; λ — удельная теплота плавления.
|
ФИЗИЧЕСКИЕ ВЕЛИЧИНЫ А) удельная теплоёмкость вещества Б) количество теплоты, необходимое для плавления вещества при температуре плавления |
ФОРМУЛЫ
|
Решение.
А) Удельная теплоёмкость вещества c связана с количеством теплоты Q формулой:
Б) Количество теплоты, необходимое для плавления вещества при температуре плавления определяется формулой:
Ответ: 14
Другие задания:
Внимание! Нумерация заданий в сборнике 2021 отличается от сборника 2020

Для наших пользователей доступны следующие материалы: