| < Предыдущий | Следующий > |
1 | Для каждого физического понятия из первого столбца подберите соответствующий пример из второго столбца.
|
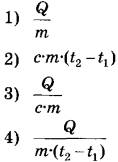
2 | Установите соответствие между названиями физических величин и формулами для расчёта этих величин. В формулах использованы обозначения: t — температура; Q — количество теплоты; m — масса тела; c — удельная теплоёмкость тела.
|
3 | Морские моллюски гребешки, обычно спокойно лежащие на дне, при приближении к ним их главного врага — морской звезды — резко сжимают створки своей раковины, с силой выталкивая из неё воду. Таким способом они всплывают и, продолжая открывать и захлопывать раковину, могут отплывать на значительное расстояние.
Что лежит в основе перемещения морского гребешка на большие расстояния? 1) увеличение гидростатического давления с глубиной 2) закон передачи давления внутри жидкости 3) принцип реактивного движения 4) действие выталкивающей силы
|
4 | Прочитайте текст и вставьте на место пропусков слова (словосочетания) из приведённого списка. Из воздуха на поверхность воды падает луч света. Под слоем воды располагается стекло (см. рисунок).
На рисунке показан ход _____ луча на границе сред воздух — вода и _____. Показатель преломления у воды _____ показателя преломления стекла и _____ показателя преломления воздуха. Список слов и словосочетаний 1) воздух — стекло 2) вода — стекло 3) стекло — вода 4) больше 5) меньше 6) преломлённый 7) отражённый
|
5 | На рисунке представлен график зависимости координаты от времени для тела, движущегося вдоль оси Ох. Чему равен модуль скорости тела на участке OA?
|
6 | Одно из колен U-образного манометра соединили с сосудом, наполненным газом (см. рисунок). Чему равно давление газа в сосуде, если атмосферное давление составляет 760 мм рт. ст.? (В качестве жидкости в манометре используется ртуть.)
|
7 | Температура в лаборатории поддерживается равной 25 °С. В помещение лаборатории вносят два алюминиевых бруска. Первый брусок имеет массу 1 кг и начальную температуру 200 °С, а второй — массу 2 кг и температуру 100 °С. Первый брусок кладут сверху второго. Какую температуру будут иметь бруски при достижении теплового равновесия?
|
8 | Чему равно общее сопротивление участка цепи, изображённого на рисунке, если R1 = 8 Ом, R2 = 8 Ом, R3 = 10 Ом, R4 = 10 Ом?
|
9 | Какое изображение 1-4 соответствует предмету, находящемуся перед зеркалом?
|
10 | На сколько единиц уменьшается массовое число ядра при его альфа-распаде?
|
11 | Свинцовый шар, совершив свободное падение с нулевой начальной скоростью с некоторой высоты на бетонную плиту, останавливается. Как изменились в результате падения полная механическая энергия и внутренняя энергия шара? Для каждой величины определите соответствующий характер изменения: 1) увеличилась 2) уменьшилась 3) не изменилась
|
12 | Свинцовый шарик нагревают в пламени свечи. Как при этом меняются его объём и плотность вещества? Для каждой величины определите соответствующий характер изменения: 1) увеличивается 2) уменьшается 3) не изменяется
|
13 | В калориметр с водой добавили лед. На рисунке представлены графики зависимости температуры от времени для воды и льда в калориметре. Теплообмен с окружающей средой пренебрежимо мал.
Используя текст задания и рисунок, выберите из предложенного перечня два верных утверждения. Запишите в ответе их номера. 1) Начальная температура воды равна t1. 2) Участок ВБ соответствует процессу плавления льда в калориметре. 3) Точка В соответствует времени, когда в системе вода — лёд установилось состояние теплового равновесия. 4) К моменту установления теплового равновесия весь лёд в калориметре растаял. 5) Начальная температура льда равна 0 °С.
|
14 | Две проводящие спирали подключают к источникам постоянного тока (см. рисунок).
Используя рисунок, выберите из предложенного перечня два верных утверждения. Запишите в ответе их номера. 1) При подключении к источникам постоянного тока обе катушки превращаются в электромагниты. 2) Точки А и В соответствуют одинаковым полюсам электромагнитов. 3) При подключении к источникам постоянного тока между катушками 1 и 2 действуют силы магнитного отталкивания. 4) При подключении к источникам постоянного тока между витками в каждой катушке возникают силы взаимного притяжения. 5) В пространстве вокруг катушек существует однородное магнитное поле.
|
15 | Запишите результат измерения атмосферного давления с помощью барометра-анероида (см. рисунок), учитывая, что погрешность измерения равна цене деления.
1) (755 ± 1) мм рт. ст. 2) (755 ± 10) мм рт. ст. 3) (100,7 ± 0,1) Па 4) (100,7 ± 1) Па
|
16 | Ученик провёл эксперимент по изучению силы упругости, возникающей при подвешивании грузов разной массы к резиновым шнурам разной длины и диаметра. Результаты экспериментальных прямых измерений массы груза m, диаметра поперечного сечения шнура d, его первоначальной длины
Выберите из предложенного перечня два утверждения, которые соответствуют результатам проведённых экспериментальных измерений. Запишите в ответе их номера. 1) При увеличении длины шнура его жёсткость увеличивается. 2) При увеличении диаметра шнура его жёсткость увеличивается. 3) Удлинение шнура не зависит от первоначальной длины шнура. 4) Жёсткость шнура не зависит от массы подвешиваемого груза. 5) Удлинение шнура зависит от упругих свойств материала, из которого изготовлен исследуемый образец.
|
17 | Используя штатив с муфтой, подвижный блок, нить, 3 груза и динамометр, соберите экспериментальную установку для измерения работы силы упругости при подъёме груза с использованием подвижного блока. Определите работу, совершаемую силой упругости при подъёме грузов на высоту 20 см. Абсолютную погрешность измерения силы с помощью динамометра принять равной ±0,1 Н. В бланке ответов № 2: 1) сделайте рисунок или описание экспериментальной установки; 2) запишите формулу для расчёта работы силы упругости; 3) укажите результаты прямых измерений силы упругости с учётом абсолютной погрешности и пути; 4) запишите числовое значение работы силы упругости.
|
18 | Установите соответствие между научными открытиями и именами учёных, которым эти открытия принадлежат.
|
19 | Прохождение болида сопровождается 1) только световыми явлениями 2) только звуковыми явлениями 3) только механическими явлениями 4) световыми, звуковыми и механическими явлениями
|
20 | Какое(-ие) из утверждений верно(-ы)? А. Из-за отсутствия собственной атмосферы у Луны прохождение метеора на лунном небосклоне будет выглядеть более ярким. Б. Болид представляет собой остаток метеорного тела, который достиг поверхности Земли. 1) только А 2) только Б 3) и А, и Б 4) ни А, ни Б
|
21 | В первом случае метеорное тело влетает в земную атмосферу, двигаясь курсом, близким к встречному относительно Земли. Во втором случае это же метеорное тело движется параллельным курсом с Землёй и входит в атмосферу, будучи притянутым к планете. В каком случае процесс разрушения метеорного тела будет более вероятным? Ответ поясните.
|
22 | Изменится ли, и если изменится, то как, ход маятниковых часов (см. рисунок), если их переместить с Земли на Луну? Ответ поясните.
|
23 | Груз массой 5 кг, подвешенный на лёгком тросе, поднимают вертикально вверх с ускорением, равным по модулю 1 м/с2 и направленным вверх. Чему равен модуль силы натяжения троса?
|
24 | Стальной осколок, падая из состояния покоя с высоты 103 м, у поверхности Земли имел скорость 40 м/с. На сколько повысилась температура осколка, если считать, что изменение его внутренней энергии произошло в результате совершения работы сил сопротивления воздуха?
|
25 | С помощью электрического нагревателя сопротивлением 200 Ом нагревают 440 г молока. Электронагреватель включён в сеть с напряжением 220 В. За 390 с молоко в сосуде нагревается на 55 °С. Определите по этим данным удельную теплоёмкость молока. Теплообменом с окружающей средой пренебречь. |
| Авторизация через | ![]() |
Сборник предназначен для самостоятельной подготовки к выпускным экзаменам. Благодаря тестовым заданиям из открытого банка заданий, вы можете проверить свои знания и определить, насколько подготовлены к соответствующим экзаменам. Также этот сборник будет полезен учителям, которые могут использовать его для контроля результатов освоения школьниками образовательных программ основного общего образования и интенсивной подготовки учащихся.
При выполнении заданий на экзаменах можно пользоваться черновиком. Записи в черновике не учитываются при оценивании работы. Баллы, полученные Вами за выполненные задания, суммируются. Постарайтесь выполнить как можно больше заданий и набрать наибольшее количество баллов.
Желаем успехов при сдаче экзаменов!
| < Предыдущий | Следующий > |