Задание 2. Тело движется вдоль оси Ох. Установите соответствие между физическими величинами и формулами для расчёта этих величин.
|
ФИЗИЧЕСКИЕ ВЕЛИЧИНЫ А) координата равномерно движущегося тела в момент времени t Б) проекция перемещения равноускоренно движущегося тела в момент времени t |
ФОРМУЛЫ
|
Решение.
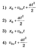
А)
Равномерное движение – это движение без ускорения с постоянной скоростью,
следовательно, подходит вариант формулы
под номером 3.
Б)
Проекция перемещения в момент времени t – это скорость
объекта. Равноускоренное движение – это движение с постоянным ускорением.
Подходит формула
под
номером 4.
Ответ: 34
Другие задания:
Внимание! Нумерация заданий в сборнике 2021 отличается от сборника 2020

Для наших пользователей доступны следующие материалы: