| < Предыдущий | Следующий > |
1 | Установите соответствие между физическими величинами (понятиями) и их определениями.
|
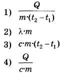
2 | Установите соответствие между названиями физических величин и формулами для расчёта этих величин. В формулах использованы обозначения: t — температура; Q — количество теплоты; m — масса тела; c — удельная теплоёмкость тела; λ — удельная теплота плавления.
|
3 | Греческий учёный Герон, живший в начале нашей эры, написал несколько книг об инженерном деле. В них он описывал самые разные изобретения, в том числе так называемый «паровой двигатель Герона». Это был металлический шар с согнутыми трубами, который крутился под воздействием выходящей струи водяного пара.
Что объясняет вращение шара? 1) охлаждение вырывающегося пара 2) испарение воды 3) принцип реактивного движения 4) сгорание топлива
|
4 | Прочитайте текст и вставьте на место пропусков слова (словосочетания) из приведённого списка. Из воздуха на поверхность соляного раствора падает луч света. Под слоем раствора располагается стекло (см. рисунок).
На рисунке показан ход _____луча на границе сред воздух — раствор и _____. Показатель преломления у раствора _____ показателя преломления воздуха и _____ показателя преломления стекла. Список слов и словосочетаний 1) воздух — стекло 2) раствор — воздух 3) раствор — стекло 4) больше 5) меньше 6) преломлённый 7) отражённый
|
5 | На рисунке представлен график зависимости координаты от времени для тела, движущегося вдоль оси Ох. Чему равен путь тела за время от 0 до 6 с?
|
6 | Невесомый рычаг находится в равновесии под действием двух сил. Сила F2 = 6Н. Чему равна сила F1, если длина рычага 25 см, а плечо силы F1 равно 15 см?
|
7 | На рисунке представлен график зависимости температуры твёрдого тела от отдаваемого им количества теплоты. Масса тела 4 кг. Чему равна удельная теплоёмкость вещества этого тела?
|
8 | На рисунке показаны два графика зависимости напряжения U на концах двух проводников — 1 и 2 -от силы тока I в них. Чему равно электрическое сопротивление второго проводника?
|
9 | В плоскости вокруг постоянного полосового магнита расположены магнитные стрелки (1-4) (см. рисунок). Для какой стрелки её расположение не соответствует указанным полюсам?
|
10 | На сколько единиц изменяется массовое число ядра при его электронном β-распаде?
|
11 | В инерциальной системе отсчёта брусок, которому сообщили начальную скорость, начинает скользить вверх по наклонной плоскости (см. рисунок). Как в процессе скольжения будут меняться кинетическая и полная механическая энергия бруска?
Для каждой величины определите соответствующий характер изменения: 1) увеличится 2) уменьшится 3) не изменится
|
12 | Из-за испарения вольфрама с нити накаливания лампы нить становится тоньше. Как при этом меняется электрическое сопротивление лампы и потребляемая ею электрическая мощность? Для каждой величины определите соответствующий характер изменения: 1) увеличивается 2) уменьшается 3) не изменяется
|
13 | Для исследования тепловых свойств двух кристаллических тел (1 и 2) их в равных массах (100 г) поместили в одинаковые сосуды и нагревали на одинаковых электрических плитках. Через определённые промежутки времени измеряли температуры тел в сосудах. По результатам проведённых исследований были построены графики зависимости температуры тел 1 и 2 от времени нагревания (см. рисунок).
Используя данные графика, выберите из предложенного перечня два верных утверждения. Запишите в ответе их номера. 1) На процесс нагревания вещества 1 до плавления было затрачено больше энергии, чем на нагревание вещества 2 до плавления. 2) Температура кипения вещества 1 равна 900 °С. 3) Удельная теплота плавления вещества 1 больше удельной теплоты плавления вещества 2. 4) Температура плавления вещества 2 равна 700 °С. 5) Для вещества 1 удельная теплоёмкость в твёрдом состоянии меньше удельной теплоёмкости в жидком состоянии.
|
14 | На рисунке представлена цепочка превращений радиоактивного урана-238 в стабильный свинец-206.
Используя данные рисунка, выберите из предложенного перечня два верных утверждения. Запишите в ответе их номера. 1) Самый малый период полураспада в представленной цепочке радиоактивных превращений имеет полоний-214. 2) Уран-234 в отличие от урана-238 является стабильным элементом. 3) Свинец с атомной массой-206 не подвержен самопроизвольному радиоактивному распаду. 4) Уран-238 превращается в стабильный свинец-206 с последовательным выделением шести альфа-частиц и шести бета-частиц. 5) Самопроизвольное превращение радия-226 в радон-222 сопровождается испусканием бета-частицы.
|
15 | Запишите результат измерения электрического напряжения (см. рисунок), учитывая, что погрешность измерения равна цене деления.
1) (4,8 ± 0,1) В 2) (4,8 ± 0,2) В 3) (2,5 ± 0,2) В 4) (2,5 ± 0,1) В
|
16 | Ученик провёл исследование изменения выталкивающей силы, действующей на сплошной алюминиевый цилиндр объёмом 60 см3 по мере погружения его в сосуд с жидкостью. На рисунке представлены схемы проведённых опытов и результаты измерения силы Архимеда (в виде графика; h — глубина погружения нижней грани цилиндра).
Выберите из предложенного перечня два утверждения, которые соответствуют результатам проведённых опытов. Запишите в ответе их номера. 1) Выталкивающая сила зависит от объёма погружённой части цилиндра. 2) Давление, создаваемое жидкостью на дно сосуда, увеличивается по мере погружения цилиндра. 3) Выталкивающая сила зависит от глубины погружения цилиндра. 4) Выталкивающая сила не зависит от формы погружаемого в неё тела. 5) При увеличении погружённой части тела в 2 раза сила Архимеда также увеличилась в 2 раза.
|
17 | Используя собирающую линзу № 2, экран, лампу на подставке, источник тока, соединительные провода, ключ, линейку, соберите экспериментальную установку для исследования свойств изображения, полученного с помощью собирающей линзы от лампы, расположенной от центра линзы на расстоянии 15 см. В бланке ответов № 2: 1) сделайте схематический рисунок экспериментальной установки для наблюдения изображения лампы, полученного с помощью собирающей линзы; 2) передвигая экран, получите чёткое изображение лампы и перечислите свойства изображения (мнимое или действительное, уменьшенное или увеличенное, прямое или перевёрнутое); 3) сформулируйте вывод о расположении лампы относительно двойного фокусного расстояния линзы.
|
18 | Установите соответствие между примерами и физическими явлениями, которые эти примеры иллюстрируют.
|
19 | Туаз является внесистемной единицей для измерения 1) скорости и равен примерно 1,9 м/с 2) скорости и равен примерно 0,5 м/с 3) расстояния и равен примерно 1,9 м 4) расстояния и равен примерно 0,5 м
|
20 | Выберите верное утверждение, соответствующее тексту. 1) Для определения скорости звука Марсенн использовал формулу v = 2D/τ. 2) Целью опыта Колладона являлось доказать, что звук может распространяться в воде. 3) Скорость звука в воде более чем в 4 раза превышает скорость звука в воздухе. 4) Для того чтобы успешно измерить скорость света, Галилею вместо фонарей следовало использовать мушкеты.
|
21 | Измерения какой физической величины, расстояния или времени, обрекли опыты Галилея на неудачу? Ответ поясните.
|
22 | Какой(-ие) из перечисленных материалов не может(-гут) использоваться для изготовления корпуса компаса: алюминий, пластмасса, железо? Ответ поясните.
|
23 | Тело массой 1 кг движется по окружности радиусом 2 м с постоянной по модулю скоростью 3 м/с. Чему равен модуль равнодействующей сил, приложенных к телу?
|
24 | Двигатель израсходовал 3 кг керосина за 1 ч работы. Какова средняя мощность работы двигателя, если его КПД равен 25 % ?
|
25 | Клеммы А и В участка цепи, состоящего из трёх одинаковых ламп, подключены к батарее гальванических элементов. Во сколько раз изменится общая потребляемая мощность участка цепи, если лампа 3 перегорит?
|
| Авторизация через | ![]() |
Сборник предназначен для самостоятельной подготовки к выпускным экзаменам. Благодаря тестовым заданиям из открытого банка заданий, вы можете проверить свои знания и определить, насколько подготовлены к соответствующим экзаменам. Также этот сборник будет полезен учителям, которые могут использовать его для контроля результатов освоения школьниками образовательных программ основного общего образования и интенсивной подготовки учащихся.
При выполнении заданий на экзаменах можно пользоваться черновиком. Записи в черновике не учитываются при оценивании работы. Баллы, полученные Вами за выполненные задания, суммируются. Постарайтесь выполнить как можно больше заданий и набрать наибольшее количество баллов.
Желаем успехов при сдаче экзаменов!
| < Предыдущий | Следующий > |