Задание 2. Тело равноускоренно движется вдоль оси Ох с нулевой начальной скоростью. Установите соответствие между физическими величинами и формулами для расчёта этих величин.
|
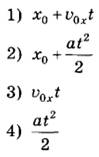
ФОРМУЛЫ А) координата тела в момент времени t Б) проекция перемещения тела в момент времени t |
ФИЗИЧЕСКИЕ ВЕЛИЧИНЫ
|
Решение.
Равноускоренное движение – это движение с постоянным ускорением.
А)
Координата тела в момент времени t будет определяться выражением
, так как начальная
скорость
(по
условию задачи).
Б)
Проекция перемещения тела относительно начального положения, которое мы
принимаем равным нулю (
),
будет определяться выражением
(все остальные слагаемые в формуле
перемещения равны нулю).
Ответ: 24
Другие задания:
Внимание! Нумерация заданий в сборнике 2021 отличается от сборника 2020

Для наших пользователей доступны следующие материалы: