ЕГЭ и ОГЭ
Главная

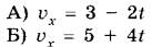
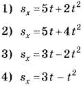
Решение 2942. Установите соответствие между зависимостью проекции скорости тела от времени и зависимостью проекции перемещения этого тела от времени для одного и того же движения.

Задание 7. Установите соответствие между зависимостью проекции скорости тела от времени и зависимостью проекции перемещения этого тела от времени для одного и того же движения.

ПРОЕКЦИЯ СКОРОСТИ

ПРОЕКЦИЯ ПЕРЕМЕЩЕНИЯ

Решение.

Путь связан со скоростью через производную по времени:

Или, наоборот, путь – это первообразная от скорости.

А) Первообразная от функции скорости, равна (свободный член C = x0 = 0):

Б) Аналогично для второго уравнения:

Ответ: 41


Другие задания:

Темы раздела

Для наших пользователей доступны следующие материалы: