ЕГЭ и ОГЭ
Главная

Решение 2953. Два резистора с сопротивлениями R1 и R2 подключены к источнику тока с внутренним сопротивлением r (см. рисунок). Напряжение на первом резисторе равно U1. Чему равны напряжение на втором резисторе и сила

Задание 18. Два резистора с сопротивлениями R1 и R2 подключены к источнику тока с внутренним сопротивлением r (см. рисунок). Напряжение на первом резисторе равно U1. Чему равны напряжение на втором резисторе и сила тока в цепи?

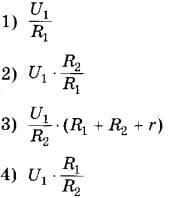
Установите соответствие между физическими величинами и формулами, по которым их можно рассчитать.

ФИЗИЧЕСКИЕ ВЕЛИЧИНЫ

А) напряжение на резисторе R2

Б) сила тока в цепи

ФОРМУЛЫ

Решение.

Б) Так как при последовательном соединении через резисторы протекает один и тот же ток, то его величину можно найти из закона Ома, зная падение напряжения на первом резисторе:

А) Падение напряжения на втором сопротивлении также можно найти из закона Ома, зная величину силы тока I:

Ответ: 21


Другие задания:

Темы раздела

Для наших пользователей доступны следующие материалы: