ЕГЭ и ОГЭ
Главная

Решение 2442. Маленькая шайба массы m, способная перемещаться вдоль гладкого стержня, находится на поверхности горизонтального диска, равномерно вращающегося с угловой скоростью ω1, на расстоянии r от оси O, с

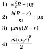
Задание 7. Маленькая шайба массы m, способная перемещаться вдоль гладкого стержня, находится на поверхности горизонтального диска, равномерно вращающегося с угловой скоростью ω1, на расстоянии r от оси O, с которой шайба соединена лёгкой недеформированной пружинкой жёсткости k (см. рисунок). Коэффициент трения между шайбой и диском μ. Как только угловая скорость начинает медленно и плавно возрастать, шайба начинает смещаться. При угловой скорости ω2 расстояние до оси стало R, при этом диск стал вновь вращаться равномерно.

Установите соответствие между физическими величинами и формулами, по которым их можно рассчитать.

ФИЗИЧЕСКИЕ ВЕЛИЧИНЫ

А) модуль ускорения шайбы, находящейся на расстоянии R от оси вращения

Б) кинетическая энергия шайбы, находящейся на расстоянии r от оси вращения

ФОРМУЛЫ

Решение.

А) За счет вращательного движения на шайбу действует центростремительная сила и сила трения:

Центростремительная сила способствует разжиманию пружины на величину  и равна:

Силу трения можно записать в виде:

Тогда, в соответствии со 2-м законом Ньютона, модуль ускорения, можно вычислить по формуле:

Б) Когда шайба находится на расстоянии r, ее угловая скорость равна ω1, а линейная . Следовательно, кинетическая энергия шайбы:

Ответ: 24


Другие задания:

Темы раздела

Для наших пользователей доступны следующие материалы: