| < Предыдущий | Следующий > |
1 | На рисунке приведён график зависимости проекции vx скорости тела от времени t.
Определите путь, пройденный телом в интервале времени от 5 до 10 с.
|
2 | На рисунке показаны силы (в заданном масштабе), действующие на материальную точку. Сторона клетки соответствует 1 Н. Определите модуль равнодействующей приложенных к телу сил.
|
3 | Автомобиль с выключенным двигателем сняли со стояночного тормоза, и он покатился под уклон, составляющий угол 30° к горизонту. Проехав 10 м, он попадает на горизонтальный участок дороги. Чему равна скорость автомобиля в начале горизонтального участка дороги? Трением пренебречь.
|
4 | Деревянный кубик имеет ребро 3 см. Определите архимедову силу, действующую на кубик при его полном погружении в воду.
|
5 | Два одинаковых вертикальных сообщающихся цилиндрических сосуда заполнены водой и закрыты поршнями массами M1 = 1 кг и M2 = 2 кг. Когда система находится в равновесии, правый поршень с площадью основания 100 см2 расположен ниже левого на величину h = 10 см.
Выберите из предложенного перечня два верных утверждения. 1) Взаимное расположение поршней при заданных массах зависит от плотности материала, из которого они изготовлены. 2) Если на левый поршень поместить груз массой m = 1 кг, поршни будут находиться на одном уровне. 3) Если на правый поршень поместить груз массой m = 1 кг, разность уровней между левым и правым поршнями составит 15 см. 4) Если на левый поршень поместить груз массой m = 0,5 кг, разность уровней между левым и правым поршнями составит 6 см. 5) Если вместо воды в сосуды налить керосин, то в состоянии равновесия левый поршень будет выше правого на 12,5 см.
|
6 | Искусственный спутник Земли перешёл с одной круговой орбиты на другую. На новой орбите центростремительное ускорение спутника больше, чем на прежней. Как изменились при этом период обращения спутника и его скорость движения по орбите вокруг Земли? Для каждой величины определите соответствующий характер изменения: 1) увеличилась 2) уменьшилась 3) не изменилась
|
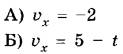
7 | Установите соответствие между зависимостью проекции скорости тела от времени (все величины выражены в СИ) и зависимостью координаты этого тела от времени (начальная координата тела равна 0).
|
8 | Цилиндрический сосуд разделён лёгким подвижным поршнем на две части. В одной части сосуда находится криптон, в другой — аргон. Температуры газов одинаковы. Определите отношение концентрации молекул криптона к концентрации молекул аргона.
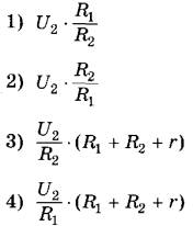
|
9 | У идеального теплового двигателя Карно температура нагревателя равна 227 °С, а температура холодильника равна -23 °С. Определите КПД теплового двигателя.
|
10 | На рисунке показан график изменения температуры вещества t по мере поглощения им количества теплоты Q. Масса вещества равна 2 кг. Первоначально вещество было в твёрдом состоянии. Какова удельная теплота плавления вещества?
|
11 | В цилиндрическом сосуде, закрытом подвижным поршнем, находится водяной пар. При постоянной температуре с паром провели процесс а→с, pV-диаграмма которого представлена на рисунке.
Из приведённого ниже списка выберите два правильных утверждения относительно этого процесса. 1) На участке а→b плотность пара постоянна. 2) На участке b→с к веществу в сосуде подводится положительное количество теплоты. 3) В точке c водяной пар является насыщенным. 4) На участке b→с внутренняя энергия пара уменьшается. 5) На участке а→b к пару подводится положительное количество теплоты.
|
12 | Температуру нагревателя тепловой машины Карно понизили, оставив температуру холодильника прежней. Количество теплоты, отданное газом холодильнику за цикл, не изменилось. Как изменились при этом КПД тепловой машины и работа газа за цикл? Для каждой величины определите соответствующий характер её изменения: 1) увеличилась 2) уменьшилась 3) не изменилась
|
13 | Заряд +q > 0 находится на равном расстоянии от неподвижных точечных зарядов +Q > 0 и -Q, расположенных на концах тонкой стеклянной палочки (см. рисунок). Куда направлено относительно рисунка (вверх, вниз, влево, вправо, от наблюдателя, к наблюдателю) ускорение заряда +q в этот момент времени, если на него действуют только заряды +Q и -Q? Ответ запишите словом (словами).
|
14 | В характеристиках электрической нагревательной плитки указана её мощность 1,1 кВт и напряжение 220 В, на которое рассчитана плитка. Какова сила тока, протекающего в цепи плитки в расчётном режиме?
|
15 | Энергия магнитного поля катушки с током равна 0,72 Дж. Индуктивность катушки равна 10 мГн. Какова сила тока в катушке?
|
16 | На уединённой неподвижной проводящей сфере радиусом R находится положительный заряд Q. Сфера находится в вакууме. Напряжённость электростатического поля сферы в точке А равна 36 В/м. Все расстояния указаны на рисунке. Выберите два верных утверждения, описывающих данную ситуацию.
1) Потенциал электростатического поля в точке А выше, чем в точке F: 2) Потенциал электростатического поля в точках В и D одинаков: 3) Потенциал электростатического поля в точках А и В одинаков: 4) Напряжённость электростатического поля в точке С Ес = 9 В/м. 5) Напряжённость электростатического поля в точке В Ев = 0.
|
17 | Небольшой предмет расположен на главной оптической оси тонкой собирающей линзы на двойном фокусном расстоянии от неё. Его начинают удалять от линзы. Как меняются при этом расстояние от линзы до изображения предмета и размер изображения? Для каждой величины определите соответствующий характер изменения: 1) увеличивается 2) уменьшается 3) не изменяется
|
18 | Два резистора с сопротивлениями R1 и R2 подключены к источнику тока с внутренним сопротивлением r (см. рисунок). Напряжение на втором резисторе равно U2. Чему равны напряжение на первом резисторе и ЭДС источника?
Установите соответствие между физическими величинами и формулами, по которым их можно рассчитать.
|
19 | Ядро бериллия может захватить гамма-квант, в результате чего происходит ядерная реакция
|
20 | Закон радиоактивного распада ядер некоторого изотопа имеет вид
|
21 | При исследовании зависимости кинетической энергии фотоэлектронов от длины волны падающего света фотоэлемент освещался через различные светофильтры. В первой серии опытов использовался светофильтр, пропускающий только зелёный свет, а во второй — только синий свет. В каждом опыте наблюдали явление фотоэффекта и измеряли запирающее напряжение. Как изменяются частота световой волны и максимальная кинетическая энергия фотоэлектронов при переходе от первой серии опытов ко второй? Для каждой величины определите соответствующий характер её изменения: 1) увеличивается 2) уменьшается 3) не изменяется
|
22 | Погрешность прямого измерения силы динамометром, на котором висит груз, равна цене деления. Каков вес груза?
|
23 | Различные проволоки изготовлены из разного материала. Какие две проволоки нужно выбрать, чтобы на опыте проверить зависимость сопротивления проволоки от её длины?
|
24 | Рассмотрите таблицу, содержащую характеристики некоторых спутников планет Солнечной системы.
Выберите все верные утверждения, которые соответствуют характеристикам спутников. 1) Объём Оберона примерно в 2 раза меньше объёма Европы. 2) Первая космическая скорость для искусственного спутника Луны составляет примерно 1,7 км/с. 3) Чем больше радиус орбиты спутника, тем больше масса планеты, вокруг которой он вращается. 4) Объём Луны больше объёма Европы. 5) Ускорение свободного падения на Фобосе составляет примерно 11 м/с2.
|
25 | Прямоугольный контур, образованный двумя рельсами и двумя перемычками, находится в однородном магнитном поле, перпендикулярном плоскости контура. Правая перемычка скользит по рельсам, сохраняя надёжный контакт с ними. Известны величины: индукция магнитного поля B = 0,2 Тл, расстояние между рельсами l = 20 см, сила индукционного тока в контуре I = 20 мА, сопротивление контура R = 3 Ом. Какова скорость движения перемычки?
|
26 | Максимальная кинетическая энергия фотоэлектронов, вылетающих из металлической пластинки под действием света, равна 2 эВ. Длина волны падающего монохроматического света составляет 2/3 длины волны, соответствующей «красной границе» фотоэффекта для этого металла. Какова работа выхода электронов?
|
27 | Один моль гелия участвует в циклическом процессе 1-2-3-4-1, график которого изображён на рисунке в координатах V-T, где V — объём газа, Т — абсолютная температура. Опираясь на законы молекулярной физики и термодинамики, сравните работу газа в процессе 2-3 и модуль работы внешних сил в процессе 4-1. Постройте график цикла в координатах p-V, где р — давление газа, V — объём газа.
|
28 | Груз массой 120 кг удерживают с помощью рычага, приложив к его концу вертикально направленную силу величиной 300 Н (см. рисунок). Рычаг состоит из шарнира без трения и длинного однородного стержня массой 30 кг. Расстояние от оси шарнира до точки подвеса груза равно 1 м. Определите длину стержня.
|
29 | Гладкий цилиндр лежит между двумя плоскостями, одна из которых вертикальна, а линия их пересечения горизонтальна (см. рисунок). Сила давления цилиндра на вертикальную стенку в n = √3 раза превышает силу тяжести, действующую на шар. Найдите угол α между плоскостями. Сделайте рисунок, на котором укажите силы, действующие на цилиндр.
|
30 | В сосуде объёмом V = 0,02 м3 с жёсткими стенками находится одноатомный газ при атмосферном давлении. В крышке сосуда имеется отверстие площадью s, заткнутое пробкой. Максимальная сила трения покоя F пробки о края отверстия равна 100 Н. Пробка выскакивает, если газу передать количество теплоты не менее 15 кДж. Определите значение s, полагая газ идеальным. Массой пробки пренебречь.
|
31 | К аккумулятору с ЭДС E = 60 В и внутренним сопротивлением r = 5 Ом подключили лампу сопротивлением Rл = 10 Ом и резистор сопротивлением R = 15 Ом, а также конденсатор ёмкостью С = 80 мкФ (см. рисунок). Спустя длительный промежуток времени ключ К размыкают. Какое количество теплоты выделится после этого на лампе?
|
32 | Точечный источник света движется со скоростью v по окружности вокруг главной оптической оси собирающей линзы в плоскости, параллельной плоскости линзы на расстоянии d = 15 см от линзы. Фокусное расстояние линзы F = 10 см. Скорость движения изображения точечного источника света V = 10 м/с. Найдите скорость движения источника света.
|
| Авторизация через | ![]() |
Сборник предназначен для самостоятельной подготовки к выпускным экзаменам. Благодаря тестовым заданиям из открытого банка заданий, вы можете проверить свои знания и определить, насколько подготовлены к соответствующим экзаменам. Также этот сборник будет полезен учителям, которые могут использовать его для контроля результатов освоения школьниками образовательных программ основного общего образования и интенсивной подготовки учащихся.
При выполнении заданий на экзаменах можно пользоваться черновиком. Записи в черновике не учитываются при оценивании работы. Баллы, полученные Вами за выполненные задания, суммируются. Постарайтесь выполнить как можно больше заданий и набрать наибольшее количество баллов.
Желаем успехов при сдаче экзаменов!
| < Предыдущий | Следующий > |