ЕГЭ и ОГЭ
Главная

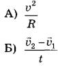
Решение 2537. Установите соответствие между формулами для расчёта физических величин и названиями этих величин. В формулах использованы обозначения: t — время; R — радиус окружности; v — скорость тела.

Задание 2. Установите соответствие между формулами для расчёта физических величин и названиями этих величин. В формулах использованы обозначения: t — время; R — радиус окружности; v — скорость тела.

ФОРМУЛЫ

ФИЗИЧЕСКИЕ ВЕЛИЧИНЫ

1) модуль центростремительного ускорения

2) вектор ускорения

3) модуль ускорения свободного падения у поверхности Земли

4) масса тела

Решение.

А) По формуле a=v^2/R вычисляется центростремительное ускорение при круговом движении тела.

Б) По формуле  вычисляется ускорение тела.

Ответ: 12


Другие задания:

Темы раздела

Для наших пользователей доступны следующие материалы: