ЕГЭ и ОГЭ
Главная

Решение 4437. Установите соответствие между названиями физических величин и формулами для расчёта этих величин. В формулах использованы обозначения: m — масса тела; l — длина; k — коэффициент жёсткости; g — ускорение

Задание 2. Установите соответствие между названиями физических величин и формулами для расчёта этих величин. В формулах использованы обозначения: m — масса тела; l — длина; k — коэффициент жёсткости; g — ускорение свободного падения.

ФИЗИЧЕСКИЕ ВЕЛИЧИНЫ

А) период колебаний математического маятника

Б) период колебаний пружинного маятника

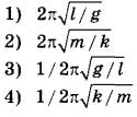
ФОРМУЛЫ

Решение.

А) Период колебаний математического маятника определяется формулой под номером 1.

Б) Период колебаний пружинного маятника определяется формулой под номером 2.

Ответ: 12


Другие задания:

Темы раздела

Для наших пользователей доступны следующие материалы: