ЕГЭ и ОГЭ
Главная

Решение 2952. Каждому из четырёх неравенств в левом столбце соответствует одно из решений в правом столбце. Установите соответствие между неравенствами и их решениями.

Задание 17. Каждому из четырёх неравенств в левом столбце соответствует одно из решений в правом столбце. Установите соответствие между неравенствами и их решениями.

НЕРАВЕНСТВА

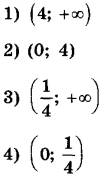
РЕШЕНИЯ

Решение.

А) Данное неравенство можно записать в виде , что составляет множество чисел больше 4 – решение под номером 1.

Б) Аналогично,  - множество значений (0; 1/4) – решение 4.

В)  - это (1/4; +∞) – решение 3.

Г)  - диапазон (0; 4) – решение 2.

Ответ: 1432.


Другие задания:

Темы раздела

Для наших пользователей доступны следующие материалы: