| < Предыдущий | Следующий > |
1 | Найдите значение выражения
|
2 | Найдите значение выражения
|
3 | В начале года число абонентов телефонной компании «Юг» составляло 400 тыс. человек, а в конце года их стало 440 тыс. человек. На сколько процентов увеличилось за год число абонентов этой компании?
|
4 | Среднее геометрическое трёх чисел a, b и c вычисляется по формуле
|
5 | Найдите значение выражения
|
6 | В доме, в котором живёт Катя, 9 этажей и несколько подъездов. На каждом этаже находится по 4 квартиры. Катя живёт в квартире № 63. В каком подъезде живёт Катя?
|
7 | Решите уравнение
|
8 | Дачный участок имеет форму прямоугольника со сторонами 25 м и 30 м. Хозяин планирует обнести его изгородью и отгородить такой же изгородью квадратный участок со стороной 15 м (см. рис.). Найдите суммарную длину изгороди в метрах.
|
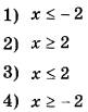
9 | Установите соответствие между величинами и их возможными значениями: к каждому элементу первого столбца подберите соответствующий элемент из второго столбца.
|
10 | Гигрометр измеряет влажность в помещении картинной галереи. Вероятность того, что влажность окажется выше 40%, равна 0,82. Вероятность того, что влажность окажется ниже 56 %, равна 0,74. Найдите вероятность того, что влажность находится в пределах от 40 % до 56 %.
|
11 | На рисунке жирными точками показана средняя температура воздуха в Мурманске во все дни апреля 2018 года. По горизонтали указываются числа месяца, по вертикали — средняя температура в градусах Цельсия. Для наглядности точки на рисунке соединены линией.
Найдите, какого числа в апреле 2018 года средняя температура в Мурманске была наибольшей, а какого числа наименьшей. В ответ запишите разность температур в эти два дня в градусах Цельсия.
|
12 | Для транспортировки 45 т груза на 1300 км можно воспользоваться услугами одной из трёх фирм-перевозчиков. Стоимость перевозки и грузоподъёмность автомобилей каждого перевозчика указаны в таблице.
Сколько рублей придётся заплатить за самую дешёвую перевозку?
|
13 | Деталь имеет форму изображённого на рисунке многогранника (все двугранные углы прямые). Числа на рисунке обозначают длины рёбер в сантиметрах. Найдите объём этой детали. Ответ задания дайте в кубических сантиметрах.
|
14 | Установите соответствие между графиками функций и графиками их производных.
|
15 | Четырёхугольник ABCD вписан в окружность. Угол ABC равен 54°, угол CAD равен 41°. Найдите угол ABD. Ответ задания дайте в градусах.
|
16 | Даны два шара с радиусами 3 и 1. Во сколько раз площадь поверхности большего шара больше площади поверхности меньшего?
|
17 | Каждому из четырёх неравенств в левом столбце соответствует одно из решений в правом столбце. Установите соответствие между неравенствами и их решениями.
|
18 | Во всех домах, в которых больше 5 этажей, установлен лифт. Выберите утверждения, которые верны при приведённом условии. 1) Если в доме нет лифта, то в этом доме больше 6 этажей. 2) Если в доме нет лифта, то в этом доме меньше 6 этажей. 3) Если в доме больше 8 этажей, то в нём нет лифта. 4) Если в доме больше 7 этажей, то в нём есть лифт.
|
19 | Найдите четырёхзначное натуральное число, кратное 4, сумма цифр которого равна их произведению. В ответе укажите какое-нибудь одно такое число.
|
20 | Квас на разлив можно купить в бутылках, причём стоимость кваса в бутылке складывается из стоимости самой бутылки и кваса, налитого в неё. Цена бутылки не зависит от её объёма. Бутылка с квасом объёмом 1 литр стоит 40 рублей, объёмом 2 литра — 75 рублей. Сколько рублей будет стоить бутылка кваса объёмом 3 литра?
|
| Авторизация через | ![]() |
Сборник предназначен для самостоятельной подготовки к выпускным экзаменам. Благодаря тестовым заданиям из открытого банка заданий, вы можете проверить свои знания и определить, насколько подготовлены к соответствующим экзаменам. Также этот сборник будет полезен учителям, которые могут использовать его для контроля результатов освоения школьниками образовательных программ основного общего образования и интенсивной подготовки учащихся.
При выполнении заданий на экзаменах можно пользоваться черновиком. Записи в черновике не учитываются при оценивании работы. Баллы, полученные Вами за выполненные задания, суммируются. Постарайтесь выполнить как можно больше заданий и набрать наибольшее количество баллов.
Желаем успехов при сдаче экзаменов!
| < Предыдущий | Следующий > |