| < Предыдущий | Следующий > |
1 | Найдите значение выражения
|
2 | Найдите значение выражения
|
3 | Оптовая цена учебника 120 рублей. Розничная цена на 25 % выше оптовой. Какое наибольшее число таких учебников можно купить по розничной цене на 7800 рублей?
|
4 | Радиус окружности, описанной около треугольника, можно вычислить по формуле
|
5 | Найдите значение выражения
|
6 | В летнем лагере 183 ребёнка и 26 воспитателей. Автобус рассчитан не более чем на 35 пассажиров. Какое наименьшее количество автобусов понадобится, чтобы за один раз перевезти всех из лагеря в город?
|
7 | Найдите корень уравнения
|
8 | План местности разбит на клетки. Каждая клетка обозначает квадрат 1 м х 1 м. Найдите площадь участка, выделенного на плане. Ответ задания дайте в квадратных метрах.
|
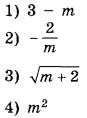
9 | Установите соответствие между величинами и их возможными значениями: к каждому элементу первого столбца подберите соответствующий элемент из второго столбца.
|
10 | За круглый стол на 21 стул в случайном порядке рассаживаются 19 мальчиков и 2 девочки. Найдите вероятность того, что девочки не окажутся на соседних местах.
|
11 | Рейтинг игроков чемпионата по футболу определяется на основе количества забитых голов G, количества приведших к голу передач Р и количества игр I, в которых участвовал игрок. Рейтинг R вычисляется по формуле:
В таблице даны показатели четырёх игроков Чемпионата мира по футболу 2014 года.
Определите, какой из представленных в таблице игроков имеет наивысший рейтинг. В ответ запишите рейтинг этого игрока.
|
12 | Иван хочет взять в аренду на 7 дней небольшой внедорожник для поездки в горы протяжённостью 2500 км. В прокатной компании есть две подходящие машины, и Ивану нужно выбрать машину с наименьшей полной стоимостью аренды, исходя из данных, указанных в таблице. Какой внедорожник ему следует арендовать? В ответе укажите полную стоимость аренды этой машины в рублях.
| ||||||||||||
13 | Две кружки имеют форму цилиндра. Первая кружка в полтора раза ниже второй, а вторая втрое уже первой. Во сколько раз объём первой кружки больше объёма второй?
|
14 | Установите соответствие между графиками линейных функций и угловыми коэффициентами прямых.
|
15 | На стороне ВС прямоугольника ABCD, у которого АВ = 32 и AD = 92, отмечена точка Е так, что угол ЕАВ = 45°. Найдите ED.
|
16 | Даны два конуса. Радиус основания и образующая первого конуса равны, соответственно, 7 и 9, а второго — 2 и 3. Во сколько раз площадь боковой поверхности первого конуса больше площади боковой поверхности второго?
|
17 | На координатной прямой отмечены точки A, B, C и D.
Число m равно -√2,2. Установите соответствие между указанными точками и числами в правом столбце, которые им соответствуют.
|
18 | Перед футбольным турниром измерили рост игроков футбольной команды города N. Оказалось, что рост каждого из футболистов этой команды больше 170 см и меньше 190 см. Выберите утверждения, которые верны при указанных условиях. 1) В футбольной команде города N обязательно есть игрок, рост которого равен 160 см. 2) В футбольной команде города N нет игроков с ростом 169 см. 3) Рост любого футболиста этой команды меньше 190 см. 4) Разница в росте любых двух игроков футбольной команды города N составляет более 20 см.
|
19 | Найдите шестизначное натуральное число, которое записывается только цифрами 2 и 0 и делится на 120. В Ответе укажите какое-нибудь одно такое число.
|
20 | Список заданий викторины состоял из 25 вопросов. За каждый правильный ответ задания ученик получал 7 очков, за неправильный ответ задания с него списывали 9 очков, а при отсутствии ответа давали 0 очков. Сколько верных ответов дал ученик, набравший 56 очков, если известно, что по крайней мере один раз он ошибся?
|
| Авторизация через | ![]() |
Сборник предназначен для самостоятельной подготовки к выпускным экзаменам. Благодаря тестовым заданиям из открытого банка заданий, вы можете проверить свои знания и определить, насколько подготовлены к соответствующим экзаменам. Также этот сборник будет полезен учителям, которые могут использовать его для контроля результатов освоения школьниками образовательных программ основного общего образования и интенсивной подготовки учащихся.
При выполнении заданий на экзаменах можно пользоваться черновиком. Записи в черновике не учитываются при оценивании работы. Баллы, полученные Вами за выполненные задания, суммируются. Постарайтесь выполнить как можно больше заданий и набрать наибольшее количество баллов.
Желаем успехов при сдаче экзаменов!
| < Предыдущий | Следующий > |