| < Предыдущий | Следующий > |
1 | Для каждого физического понятия из первого столбца подберите соответствующий пример из второго столбца.
|
2 | Тяжелый чемодан необходимо передвинуть в купе вагона по направлению к локомотиву. Это легче будет сделать, если поезд в это время 1) стоит на месте у платформы
2) движется равномерно прямолинейно 3) ускоряется 4) тормозит
|
3 | Тело движется в положительном направлении оси Ох. На рисунке представлен график зависимости от времени t для проекции силы Fx, действующей на тело в инерциальной системе отсчёта. В интервале времени от 5 до 10 с проекция импульса тела на ось Ох
1) не изменяется 2) увеличивается на 5 кг∙м/с 3) увеличивается на 10 кг∙м/с 4) уменьшается на 5 кг∙м/с
|
4 | На рисунке представлены графики изменения давления воздуха ∆p от времени t для звуковых волн, издаваемых двумя камертонами. Сравните амплитуду изменения давления и высоту тона волн.
1) амплитуда изменения давления одинакова, а высота тона первого звука больше, чем второго 2) высота тона одинакова, а амплитуда изменения давления в первой волне меньше, чем во второй 3) амплитуда изменения давления и высота тона одинаковы 4) амплитуда изменения давления и высота тона различны
|
5 | На рисунке приведена столбчатая диаграмма. На ней представлены значения массы двух тел одинакового объёма. Сравните плотности ρ1 и ρ 2 веществ, из которых сделаны эти тела.
1) ρ1 = ρ2; 2) 3ρ1 = ρ2; 3) ρ1 = 3ρ2; 4) 2ρ1 = ρ2.
|
6 | Тело движется по криволинейной траектории (см. рисунок), причём на участке АБ его скорость неизменна по модулю и равна 2 м/с, а на участке ВГ равна 4 м/с. Для радиусов кривизны траектории в точках 1, 2 и 3 выполняется соотношение R1 > R2 > R3,
Используя текст и рисунок, выберите из предложенного перечня два верных утверждения. Укажите их номера. 1) На участке АБ ускорение тела равно нулю. 2) На участке ВГ вектор скорости тела не изменяется. 3) Центростремительное ускорение в точке 1 меньше центростремительного ускорения в точке 2. 4) Во всех точках траектории вектор скорости тела направлен по касательной к траектории. 5) На участке БВ скорость тела постоянна.
|
7 | Автомобиль трогается с места и, двигаясь равноускоренно, проходит путь 50 м за 10 с. Сколько времени от начала движения затратит автомобиль, двигаясь с тем же ускорением, чтобы пройти путь 450 м?
|
8 | Одно из положений молекулярно-кинетической теории строения вещества заключается в том, что «частицы вещества (молекулы, атомы, ионы) находятся в непрерывном хаотическом движении». Что означают слова «непрерывное движение»? 1) частицы всё время движутся в определённом направлении
2) движение частиц вещества не подчиняется никаким законам 3) частицы все вместе движутся то в одном, то в другом направлении 4) движение молекул никогда не прекращается
|
9 | В цилиндре под герметичным поршнем находится газ. Поршень перемещают вниз. Температура газа поддерживается постоянной. Как по мере перемещения поршня меняется плотность газа и средняя скорость движения его молекул?
Для каждой величины определите соответствующий характер изменения: 1) увеличивается 2) уменьшается 3) не изменяется
|
10 | Какое количество теплоты выделится при плавлении куска льда объёмом 2000 см3 при температуре 0 °С?
|
11 | Приблизим к незаряженному проводнику, состоящему из двух частей: А и Б. изолированный положительно заряженный металлический шар (рис. 1).
Если затем отделить проводники А и Б друг от друга (рис. 2), то 1) оба проводника будут иметь положительный заряд 2) оба проводника останутся незаряженными 3) проводник А будет иметь положительный заряд, а проводник Б — отрицательный 4) проводник Б будет иметь положительный заряд, а проводник А — отрицательный
|
12 | Алюминиевая, железная и нихромовая проволоки, имеющие одинаковые размеры, соединены параллельно и подключены к источнику тока. На какой из проволок будет выделяться наибольшее количество теплоты при прохождении электрического тока за единицу времени? 1) на алюминиевой
2) на железной 3) на нихромовой 4) на всех трёх проволоках будет выделяться одинаковое количество теплоты
|
13 | Две катушки надеты на железный сердечник (рис. 1). Через первую катушку протекает электрический ток (график зависимости силы тока I от времени t представлен на рис. 2).
Рис. 1
Рис. 2 Гальванометр, на который замкнута вторая катушка, зафиксирует индукционный ток 1) только в интервале времени от 0 до t1 2) только в интервале времени от t1 до t2 3) только в интервале времени от t2 до f3 4) в интервалах времени от 0 до t1 и от t2 до t3
|
14 | Четыре прозрачные плоскопараллельные пластинки положили друг на друга стопкой. На рис. А и рис. Б изображён ход преломлённого светового луча при прохождении сквозь пластины.
На каком(-их) из рисунков ход луча соответствует случаю, когда оптическая плотность пластин уменьшается сверху вниз? 1) только А 2) только Б 3) и А, и Б 4) ни А, ни Б
|
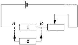
15 | На рисунке изображена электрическая цепь, состоящая из источника тока, резистора 1 и реостата. Как изменится при присоединении к резистору 1 резистора 2 электрическое сопротивление участка цепи АВ и сила тока через источник?
Установите соответствие между физическими величинами и их возможными изменениями. Для каждой величины определите соответствующий характер изменения: 1) увеличивается 2) уменьшается 3) не изменяется
|
16 | Три лампы, каждая сопротивлением 240 Ом, соединены последовательно и включены в сеть, напряжение которой 120 В. Определите мощность, потребляемую всеми лампами.
|
17 | Какая частица X испускается в результате следующей реакции:
1) альфа-частица 2) электрон 3) протон 4) нейтрон
|
18 | Какой(-ие) из опытов Вы предложили бы провести, чтобы доказать, что мощность, выделяемая в проводнике с током, зависит от удельного электрического сопротивления проводника? А. Показать, что время нагревания воды в кружке изменится в случае, если спираль плитки укоротить.
Б. Показать, что время нагревания воды в кружке изменится в случае, если никелиновую спираль плитки заменить на такую же по размерам нихромовую спираль. 1) только А; 2) только Б; 3) и А, и Б; 4) ни А, ни Б
|
19 | В стеклянную трубку, нижнее отверстие которой закрыто тонкой резиновой плёнкой, наливают поочерёдно чистую воду и водный раствор соли (см. рисунок). В результате резиновое дно прогибается.
Выберите из предложенного перечня два утверждения, которые соответствуют результатам проведённых экспериментальных наблюдений. Укажите их номера. 1) Жидкость оказывает давление на дно сосуда. 2) Давление, создаваемое жидкостью на дно сосуда, зависит от рода жидкости. 3) Давление, создаваемое жидкостью на дно сосуда, не зависит от формы сосуда. 4) Давление, создаваемое жидкостью на дно сосуда, зависит от высоты столба жидкости. 5) Давление внутри жидкости на одном и том же уровне одинаково по всем направлениям.
|
20 | Магнитные полюсы тереллы расположены в точках 1) А и Б; 2) А и В; 3) В и Г; 4) Б и Г
|
21 | Какое утверждение верно? 1) На рисунках 3а и 3б в обоих случаях на нижнем конце правой полоски возникает северный полюс.
2) На рисунках 3а и 3б в обоих случаях на нижнем конце правой полоски возникает южный полюс. 3) На нижнем конце правой полоски возникает северный полюс на рисунке 3а и южный полюс на рисунке 3б. 4) На нижнем конце правой полоски возникает южный полюс на рисунке 3а и северный полюс на рисунке 3б.
|
22 | Изменяется ли, и если изменяется, то как, величина магнитного поля Земли и угол наклонения магнитной стрелки по мере движения по земной поверхности вдоль меридиана от экватора к полюсу?
|
23 | Используя источник тока, вольтметр, амперметр, ключ, реостат, соединительные провода, резистор, обозначенный R1, соберите экспериментальную установку для определения мощности, выделяемой на резисторе. При помощи реостата установите в цепи силу тока 0,3 А. В бланке ответов:
1) нарисуйте электрическую схему эксперимента; 2) запишите формулу для расчёта мощности электрического тока; 3) укажите результаты измерения напряжения при силе тока 0,3 А; 4) запишите численное значение мощности электрического тока.
|
24 | К разным точкам стального стержня одинаково притягивается как северный, так и южный полюс стрелки. Является ли стержень намагниченным? Ответ поясните
|
25 | Сплошной кубик с ребром 10 см плавает на границе раздела воды и керосина, погружаясь в воду на 2 см (см. рисунок). Свободная поверхность керосина располагается выше, чем верхняя поверхность кубика. Определите плотность вещества, из которого изготовлен кубик.
|
26 | Горизонтальный проводник длиной 50 см, электрическое сопротивление которого равно 2,6 Ом, находится в горизонтальном однородном магнитном поле индукцией 0,02 Тл перпендикулярно линиям магнитной индукции. Какая сила со стороны магнитного поля действует на этот участок проводника, если к его концам приложено напряжение 10,4 В?
|
| Авторизация через | ![]() |
Сборник предназначен для самостоятельной подготовки к выпускным экзаменам. Благодаря тестовым заданиям из открытого банка заданий, вы можете проверить свои знания и определить, насколько подготовлены к соответствующим экзаменам. Также этот сборник будет полезен учителям, которые могут использовать его для контроля результатов освоения школьниками образовательных программ основного общего образования и интенсивной подготовки учащихся.
При выполнении заданий на экзаменах можно пользоваться черновиком. Записи в черновике не учитываются при оценивании работы. Баллы, полученные Вами за выполненные задания, суммируются. Постарайтесь выполнить как можно больше заданий и набрать наибольшее количество баллов.
Желаем успехов при сдаче экзаменов!
| < Предыдущий | Следующий > |