| < Предыдущий | Следующий > |
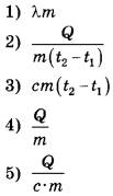
1 | Установите соответствие между физическими величинами и формулами, по которым эти величины определяются.
|
2 | На тело действуют три силы, модули которых: F1 = 2 Н; F2 = 3 Н и F3 = 6 Н. Направления действия сил показаны на рисунке.
Направление равнодействующей этих трёх сил совпадает с направлением вектора 1) 1; 2) 2; 3) 3; 4) 4
|
3 | Мощность первого подъёмного крана в 3 раза меньше мощности второго. При одинаковой массе поднимаемого груза скорость его перемещения у первого крана по сравнению со вторым 1) такая же
2) в 3 раза больше 3) в 3 раза меньше 4) в 9 раз меньше
|
4 | К рычагу АО приложены силы, направление и модуль которых указаны на рисунке. Точка О — ось вращения рычага. Чтобы рычаг находился в равновесии, длина отрезка АВ должна быть равна
1) 15 см; 2) 10 см; 3) 20 см; 4) 5 см
|
5 | В сообщающиеся сосуды поверх воды налиты четыре различные жидкости, не смешивающиеся с водой (см. рисунок). Уровень воды в сосудах остался одинаковым.
Какая жидкость имеет наименьшую плотность? 1) 1; 2) 2; 3) 3; 4) 4
|
6 | На рис. 1 представлены диапазоны слышимых звуков для человека и различных животных, а на рис. 2 — диапазоны, приходящиеся на инфразвук, звук и ультразвук.
Рис. 1
Рис. 2 Используя данные рисунков, из предложенного перечня утверждений выберите два правильных. Укажите их номера. 1) Длина волны ультразвука больше длины волны инфразвука. 2) Из представленных животных наиболее широкий диапазон слышимых звуков имеет волнистый попугай. 3) Диапазон слышимых звуков у кошки сдвинут в область ультразвука по сравнению с человеческим диапазоном. 4) Звуки с частотой 10 кГц принадлежат инфразвуковому диапазону. 5) Звуковой сигнал, имеющий в воздухе длину волны 3 см, услышат все представленные животные и человек. (Скорость звука в воздухе равна 340 м/с.)
|
7 | Снаряд, движущийся горизонтально, разорвался на два равных осколка по 1 кг каждый. Один осколок продолжил двигаться относительно Земли в прежнем направлении со скоростью 800 м/с, а другой полетел назад со скоростью 400 м/с. Какую скорость имел снаряд в момент разрыва?
|
8 | Температура в лаборатории поддерживается равной 20 °С. В помещение лаборатории вносят два медных бруска. Первый брусок имеет массу 5 кг и начальную температуру 100 °С, а второй — массу 2 кг и температуру 200 °С. Первый брусок кладут сверху второго. При достижении теплового равновесия оба бруска будут иметь температуру, примерно равную 1) 150 °С
2) 130 °С 3) 33 °С 4) 20 °С
|
9 | На рисунке представлен график зависимости температуры некоторого вещества от полученного количества теплоты. Первоначально вещество находилось в твёрдом состоянии.
Используя данные графика, выберите из предложенного перечня два верных утверждения. Укажите их номера. 1) Удельная теплоёмкость вещества в твёрдом состоянии меньше удельной теплоёмкости вещества в жидком состоянии. 2) Температура плавления вещества равна t1. 3) В точке Б вещество находится в жидком состоянии. 4) В процессе перехода из состояния Б в состояние В внутренняя энергия вещества не изменяется. 5) Участок графика ВГ соответствует процессу кипения вещества.
|
10 | Какова масса медного шарика, прогретого в кипящей воде, если при помещении его в лёд, имеющий температуру 0 °С, образовалось 12 г воды? Считать, что вся энергия, выделяющаяся при охлаждении шарика, расходуется на плавление льда.
|
11 | Маленькая капля масла падает под действием силы тяжести. Приблизившись к находящей под ней отрицательно заряженной пластине, капля постепенно останавливается и в какой-то момент зависает над пластиной. Каков знак заряда капли? 1) отрицательный
2) положительный 3) капля может иметь заряд любого знака 4) капля не имеет заряда
|
12 | Имеются три резистора, изготовленные из различных материалов и имеющие различные размеры (см. рисунок).
Наибольшее электрическое сопротивление при комнатной температуре имеет(-ют) резистор(-ы) 1) 1; 2) 2; 3) 3; 4) 1 и 3
|
13 | Постоянный магнит с некоторой скоростью вносят в катушку, замкнутую на гальванометр (см. рисунок).
Если выносить магнит из катушки с большей скоростью, то показания гальванометра будут примерно соответствовать рисунку
|
14 | На рисунке изображены три предмета: А, Б и В. Изображение какого(-их) предмета(-ов) в тонкой собирающей линзе с фокусным расстоянием F будет увеличенным, прямым и мнимым?
1) только А 2) только Б 3) только В 4) всех трёх предметов
|
15 | Две катушки надеты на железный сердечник (рис. 1). Через первую катушку протекает электрический ток (график зависимости силы тока от времени представлен на рис. 2). Вторая катушка замкнута на гальванометр.
Используя текст и рисунки, выберите из предложенного перечня два верных утверждения. Укажите их номера. 1) Заряд, прошедший через первую катушку в интервале времени от t1 до t2, равен нулю. 2) Индукционный ток, возникающий в катушке 2 в интервале времени от t1 до t2 имеет наибольшее значение. 3) В течение всего времени наблюдения (от 0 до t3) в катушке 1 отсутствует магнитное поле. 4) В интервале времени от t2 до t3 магнитное поле в катушках не меняется. 5) В течение всего времени наблюдения (от 0 до t3) в катушке 2 протекает индукционный ток.
|
16 | Электрические силы при перемещении электрона из одной точки поля в другую совершают работу, равную по модулю
|
17 | Используя фрагмент Периодической системы химических элементов, представленный на рисунке, определите состав ядра бериллия с массовым числом 9.
1) 9 протонов, 5 нейтронов 2) 4 протона, 5 нейтронов 3) 5 протона, 4 нейтрона 4) 5 протонов, 9 нейтронов
|
18 | Цена деления и предел измерения вольтметра (см. рисунок) равны соответственно
1) 10 В, 150 В 2) 150 В, 50 В 3) 50 В, 150 В 4) 5 В, 150 В
|
19 | Учитель на уроке, используя палочку, кусок ткани и электроскоп, последовательно провёл опыты по электризации. Условия проведения опытов и показания электроскопа представлены на рисунке.
Выберите из предложенного перечня два утверждения, которые соответствуют результатам проведённых экспериментальных наблюдений. Укажите их номера. 1) Палочка и ткань электризуются при трении. 2) При трении палочка и ткань приобретают равные по величине заряды. 3) При трении палочка и ткань приобретают разные по знаку заряды. 4) Угол расхождения лепестков электроскопа зависит от степени наэлектризованности палочки. 5) Электризация связана с перемещением электронов с одного тела на другое.
|
20 | Механизм действия магнитных мин в годы Великой Отечественной войны основывался на явлении 1) возникновения электрического тока при изменении магнитного потока поля Земли
2) самопроизвольного намагничивания железных предметов в магнитном поле Земли 3) пропускания электрического тока по петле из изолированного провода 4) всплывания мины под действием реактивной силы струи
|
21 | Один из способов обезвреживания глубинных магнитных мин основывался на нейтрализации магнитного поля корабля. Этот способ заключался в 1) использовании постоянных магнитов, подвешенных на тросах к кораблю
2) использовании постоянных магнитов, подвешенных на тросах к пролетающему нал морем самолёту 3) пропускании электрического тока в кольцевых проводах, закреплённых поплавками на поверхности воды 4) пропускании электрического тока по кольцевым проводам, закреплённым на корабле
|
22 | Из какого материала — стали или дерева — следует строить научно-исследовательские корабли для изучения магнитного поля Земли? Ответ поясните.
|
23 | Используя рычажные весы с разновесом, мензурку, стакан с водой, цилиндр № 1, соберите экспериментальную установку для определения плотности материала, из которого изготовлен цилиндр № 1. В бланке ответов:
1) сделайте рисунок экспериментальной установки для определения объёма тела; 2) запишите формулу для расчёта плотности; 3) укажите результаты измерения массы цилиндра и его объёма; 4) запишите численное значение плотности материала цилиндра.
|
24 | В какое время года (летом или поздней осенью) ветер одинаковой силы с большей вероятностью повалит лиственное дерево? Ответ поясните.
|
25 | Автомобиль равномерно движется по горизонтальной дороге. Определите массу автомобиля, если для прохождения 142 км пути при средней силе сопротивления движению, равной 0,03 веса автомобиля, автомобиль израсходовал 15 л бензина. КПД двигателя равен 20 % .
|
26 | В стальной коробке массой 400 г находится олово массой 200 г при температуре 32 °С. Какое количество теплоты потребуется, чтобы расплавить олово? Потерями энергии в окружающую среду пренебречь. Температура плавления стали существенно выше температуры плавления олова.
|
| Авторизация через | ![]() |
Сборник предназначен для самостоятельной подготовки к выпускным экзаменам. Благодаря тестовым заданиям из открытого банка заданий, вы можете проверить свои знания и определить, насколько подготовлены к соответствующим экзаменам. Также этот сборник будет полезен учителям, которые могут использовать его для контроля результатов освоения школьниками образовательных программ основного общего образования и интенсивной подготовки учащихся.
При выполнении заданий на экзаменах можно пользоваться черновиком. Записи в черновике не учитываются при оценивании работы. Баллы, полученные Вами за выполненные задания, суммируются. Постарайтесь выполнить как можно больше заданий и набрать наибольшее количество баллов.
Желаем успехов при сдаче экзаменов!
| < Предыдущий | Следующий > |