| < Предыдущий | Следующий > |
1 | Для каждого физического понятия из первого столбца подберите соответствующий пример из второго столбца.
|
2 | На рисунке представлен график зависимости скорости от времени для тела, движущегося прямолинейно. Путь равномерного движения тела составляет
1) 40 м 2) 120 м 3) 160 м 4) 240 м
|
3 | Для эффективного ускорения космического корабля струя выхлопных газов, вырывающаяся из сопла его реактивного двигателя, должна быть направлена 1) по направлению движения корабля
2) противоположно направлению движения корабля 3) перпендикулярно направлению движения корабля 4) под произвольным углом к направлению движения корабля
|
4 | На рисунке представлен график зависимости высоты свободно падающего тела от времени на некоторой планете.
Ускорение свободного падения на этой планете равно 1) 1 м/с2 2) 2 м/с2 3) 3 м/с2 4) 9 м/с2
|
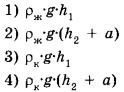
5 | Сплошной кубик, имеющий плотность
|
6 | Космический корабль, движущийся по круговой орбите вокруг Земли, сместился на другую круговую орбиту, меньшего радиуса. Как при этом изменились сила тяготения, действующая на корабль со стороны Земли, и модуль скорости корабля? Для каждой физической величины определите соответствующий характер изменения.
|
7 | Автомобиль массой 500 кг, разгоняясь с места равноускоренно, достиг скорости 20 м/с за 10 с. Чему равна равнодействующая всех сил, действующих на автомобиль?
|
8 | Выберите из предложенных пар веществ ту, в которой скорость диффузии при одинаковой температуре будет наименьшая. 1) раствор медного купороса и вода
2) крупинка перманганата калия (марганцовки) и вода 3) пары эфира и воздух 4) свинцовая и медная пластины
|
9 | В справочнике физических свойств различных материалов представлена следующая таблица.
Используя данные таблицы, выберите из предложенного перечня два верных утверждения. Укажите их номера. 1) Кольцо из серебра нельзя расплавить в свинцовой посуде. 2) Алюминиевая проволока утонет в расплавленном олове. 3) Для нагревания 1 кг меди на 10 °С потребуется такое же количество теплоты, что и для нагревания 1 кг цинка на 10 °С. 4) Свинцовый шарик будет плавать в расплавленной меди при частичном погружении. 5) Для плавления серебряного и оловянного шаров одинаковой массы при температуре их плавления потребуется одинаковое количество теплоты.
|
10 | Какое количество теплоты потребуется, чтобы в алюминиевом чайнике массой 700 г вскипятить 2 кг воды? Первоначально чайник с водой имели температуру 20 °С.
|
11 | К двум заряженным шарикам, подвешенным на изолирующих нитях, подносят положительно заряженный шар на изолирующей ручке. В результате положение шариков изменяется так, как показано на рисунке (пунктирными линиями указано первоначальное положение).
Это означает, что 1) оба шарика заряжены отрицательно 2) оба шарика заряжены положительно 3) первый шарик заряжен положительно, а второй — отрицательно 4) первый шарик заряжен отрицательно, а второй — положительно
|
12 | К источнику постоянного тока подсоединили две лампы (см. рисунок), имеющие одинаковые электрические сопротивления. Чему равно сопротивление каждой лампы, если показания идеального амперметра и вольтметра равны соответственно 3 А и 6 В?
1) 0,5 Ом 2) 1 Ом 3) 2 Ом 4) 4 Ом
|
13 | Проводник с током находится между полюсами постоянного магнита (см. рисунок).
Сила, действующая со стороны магнитного поля на проводник с током, направлена 1) направо 2) налево 3) вниз 4) вверх
|
14 | К электромагнитным волнам относятся A. звуковые волны. Б. радиоволны. B. инфракрасные лучи.
Правильным ответом является 1) только А; 2) только Б; 3) только Б и В; 4) А, Б и В
|
15 | На кухне включена микроволновая печь. Как изменится общее сопротивление электрической цепи, а также электрическая мощность, потребляемая печью, если дополнительно в электрическую сеть включить электрический чайник? Для каждой физической величины определите соответствующий характер изменения.
|
16 | Исследуя зависимость силы тока от напряжения на резисторе при его постоянном сопротивлении, ученик получил результаты, представленные в таблице. Чему равно удельное сопротивление металла, из которого изготовлен резистор, если длина провода 10 м, а площадь его поперечного сечения 2 мм2?
|
17 | Произошла следующая ядерная реакция: 1) бета-частица
2) альфа-частица 3) протон 4) нейтрон
|
18 | На границе воздух — стекло световой луч частично отражается, частично преломляется (см. рисунок). Какими цифрами обозначены на рисунке падающий, отражённый и преломлённый лучи?
1) 1 — падающий луч, 3 — отражённый луч, 2 — преломлённый луч 2) 1 — падающий луч, 2 — отражённый луч, 3 — преломлённый луч 3) 3 — падающий луч, 2 — отражённый луч, 1 — преломлённый луч 4) 3 — падающий луч, 1 — отражённый луч, 2 — преломлённый луч
|
19 | Ученик провёл эксперимент по изучению электрического сопротивления металлического проводника, причём в качестве проводника он использовал никелиновые и фехралевые проволоки разной длины и толщины. Результаты экспериментальных измерений площади поперечного сечения S и длины l проволоки, а также электрического сопротивления R (с указанием погрешности) представлены в таблице.
Какие утверждения соответствуют результатам проведённых экспериментальных измерений? Из предложенного перечня утверждений выберите два правильных. Укажите их номера. 1) Электрическое сопротивление проводника увеличивается при увеличении длины проводника. 2) Электрическое сопротивление проводника зависит от материала, из которого изготовлен проводник. 3) При увеличении длины проводника его электрическое сопротивление не меняется. 4) Электрическое сопротивление проводника прямо пропорционально площади поперечного сечения проводника. 5) При увеличении толщины проводника его электрическое сопротивление уменьшается.
|
20 | Какая физическая величина характеризует свет разного цвета? 1) амплитуда колебаний
2) частота волны 3) плотность среды, на поверхность которой падает свет 4) оптическая плотность среды
|
21 | Что происходит при покрытии лаком картин, написанных масляными красками? 1) уменьшается коэффициент преломления света
2) увеличивается коэффициент поглощения света 3) отражение света становится направленным 4) свет ещё больше рассеивается
|
22 | Где (сверху или сбоку от картины) лучше поместить светильник для освещения картины, покрытой лаком? Ответ поясните.
|
23 | Используя динамометр, стакан с водой, цилиндр № 2, соберите экспериментальную установку для определения выталкивающей силы (силы Архимеда), действующей на цилиндр. В бланке ответов:
1) сделайте рисунок экспериментальной установки; 2) запишите формулу для расчёта выталкивающей силы; 3) укажите результаты измерений веса цилиндра в воздухе и веса цилиндра в воде; 4) запишите численное значение выталкивающей силы.
|
24 | Можно ли услышать грохот мощных процессов, происходящих на Солнце? Ответ поясните.
|
25 | Две спирали электроплитки сопротивлением по 10 Ом каждая соединены последовательно и включены в сеть с напряжением 220 В. Через какое время на этой плитке закипит вода массой 1 кг, налитая в алюминиевую кастрюлю массой 300 г, если их начальная температура составляла 20 °С? Потерями энергии на нагревание окружающего воздуха пренебречь.
|
26 | Автомобиль массой 1 т трогается с места и, двигаясь равноускоренно, за 20 с набирает скорость 72 км/ч. Чему равна работа, совершённая двигателем автомобиля, если средняя сила сопротивления, действующая на автомобиль, равна 500 Н?
|
| Авторизация через | ![]() |
Сборник предназначен для самостоятельной подготовки к выпускным экзаменам. Благодаря тестовым заданиям из открытого банка заданий, вы можете проверить свои знания и определить, насколько подготовлены к соответствующим экзаменам. Также этот сборник будет полезен учителям, которые могут использовать его для контроля результатов освоения школьниками образовательных программ основного общего образования и интенсивной подготовки учащихся.
При выполнении заданий на экзаменах можно пользоваться черновиком. Записи в черновике не учитываются при оценивании работы. Баллы, полученные Вами за выполненные задания, суммируются. Постарайтесь выполнить как можно больше заданий и набрать наибольшее количество баллов.
Желаем успехов при сдаче экзаменов!
| < Предыдущий | Следующий > |