| < Предыдущий | Следующий > |
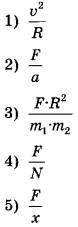
1 | Установите соответствие между физическими величинами и формулами, по которым эти величины определяются.
|
2 | Машина массой m движется равномерно со скоростью v по выпуклому мосту с радиусом кривизны R. Модуль равнодействующей сил, действующих на машину в точке A, равен
1) mg; 2)
|
3 | Камень падает из состояния покоя, оторвавшись от скалы. Сопротивление воздуха пренебрежимо мало. Если масса камня, падающего из состояния покоя с той же высоты, будет больше в 2 раза, скорость камня в момент приземления 1) увеличится в √2 раз
2) увеличится в 2 раза 3) увеличится в 4 раза 4) будет такой же, что и в первом случае
|
4 | Шарик на нити, совершающий свободные колебания, приходит от крайнего правого положения до крайнего левого положения за 0,8 с. Чему равна частота колебания шарика? 1) 0,625 Гц
2) 1,25 Гц 3) 2,5 Гц 4) 5 Гц
|
5 | Сила F2, действующая на один поршень гидравлической машины, в 25 раз меньше силы F1, действующей на другой поршень. Как соотносятся площади S1 и S2 этих поршней?
1) S1 = S2 2) S1 = 5S2 3) S1 = 25S2 4) S2 = 25S1
|
6 | На рисунке представлены графики зависимости смещения х от времени t при колебаниях двух математических маятников.
Из предложенного перечня утверждений выберите два правильных. Укажите их номера. 1) В положении, соответствующем точке Д на графике, маятник 1 имеет максимальную скорость. 2) В положении, соответствующем точке Б на графике, оба маятника имеют максимальную кинетическую энергию. 3) Оба маятника совершают затухающие колебания. 4) При перемещении маятника 2 из положения, соответствующего точке А, в положение, соответствующее точке Б, кинетическая энергия маятника возрастает. 5) Периоды колебаний маятников совпадают.
|
7 | Брусок массой 200 г, подвешенный на лёгкой пружинке, поднимают вертикально вверх с ускорением, равным по модулю 0,5 м/с2 и направленным вверх. Чему равен модуль силы упругости пружинки?
|
8 | КПД тепловой машины равен 30 %. Это означает, что при выделении энергии Q при сгорании топлива на совершение полезной работы не используется энергия, равная 1) 1,3Q 2) 0,7Q 3) 0,4Q 4) 0,3Q
|
9 | В калориметр налили некоторое количество горячей и холодной воды. На рисунке представлены графики зависимости от времени температуры горячей воды и температуры холодной воды в процессе установления теплового равновесия. Теплообмен с окружающей средой пренебрежимо мал.
Используя данные графика, выберите из предложенного перечня два верных утверждения. Укажите их номера. 1) Участок БГ на графике соответствует состоянию теплового равновесия в системе. 2) Процесс ВБ на графике соответствует охлаждению горячей воды. 3) Конечная температура холодной воды равна t2. 4) Масса горячей воды, налитой в калориметр, больше массы холодной воды. 5) Изменение температуры горячей воды равно (t3 - t1).
|
10 | Какой объём воды можно нагреть от 20 °С до кипения, сообщив ей 1,68 МДж теплоты?
|
11 | Металлический шарик 1, укреплённый на длинной изолирующей ручке и имеющий заряд +q, приводят поочерёдно в соприкосновение с двумя такими же незаряжёнными металлическими шариками 2 и 3, расположенными на изолирующих подставках.
Какой по величине заряд в результате останется на шарике 1? 1) q/2; 2) q/3; 3) q/4; 4) q/6
|
12 | На рисунке изображена схема электрической цепи, состоящей из трёх резисторов и двух ключей K1 и K2. К точкам А и В приложено постоянное напряжение. Максимальное количество теплоты, выделяемое в цепи, может быть получено
1) при замыкании только ключа K1 2) при замыкании только ключа K2 3) при замыкании обоих ключей одновременно 4) при обоих одновременно разомкнутых ключах
|
13 | Стальную пластину расположили между полюсами магнита. Через некоторое время пластина намагнитилась. Какие точки соответствуют полюсам намагниченной пластины?
1) 1 — северному полюсу, 3 — южному 2) 3 — северному полюсу, 1 — южному 3) 2 — северному полюсу, 4 — южному 4) 4 — северному полюсу, 2 — южному
|
14 | На рисунке приведена шкала электромагнитных волн. Укажите, к какому виду излучения относятся области 1, 2 и 3.
1) 1 — ультрафиолетовое излучение; 2 — инфракрасное излучение; 3 — рентгеновское излучение 2) 1 — инфракрасное излучение; 2 — ультрафиолетовое излучение; 3 — рентгеновское излучение 3) 1 — рентгеновское излучение; 2 — инфракрасное излучение; 3 — ультрафиолетовое излучение 4) 1 — рентгеновское излучение; 2 — ультрафиолетовое излучение; 3 — инфракрасное излучение
|
15 | Человек переводит взгляд со страницы книги на облака за окном. Как при этом меняются фокусное расстояние и оптическая сила хрусталика глаза человека? Установите соответствие между физическими величинами и их возможными изменениями.
Для каждой величины определите соответствующий характер изменения: 1) увеличивается 2) уменьшается 3) не изменяется
|
16 | Электрическая плитка, спираль которой имеет сопротивление 44 Ом, включена в сеть напряжением 220 В. За какое время плитка потребляет 1320 кДж энергии?
|
17 | Ядро атома железа 1) 26 протонов, 56 нейтронов
2) 26 протонов, 30 нейтронов 3) 26 нейтронов, 56 протонов 4) 26 нейтронов, 30 протонов
|
18 | Ученик исследовал зависимость удлинения ∆l упругой пружины от приложенной к ней силы, используя для этого стограммовые гирьки, и получил следующие данные:
Проанализировав полученные значения, он высказал следующие предположения. А. Закон Гука для данной пружины справедлив для первых трёх измерений. Б. Закон Гука для данной пружины справедлив для всех шести измерений. Какая(-ие) из высказанных учеником гипотез верна(-ы)? 1) только А 2) только Б 3) и А, и Б 4) ни А, ни Б
|
19 | Учитель провёл следующий опыт. Раскалённая плитка 1 размещалась напротив полой цилиндрической металлической коробки 2, соединённой резиновой трубкой с коленом U-образного манометра 3. Первоначально жидкость в коленах находилась на одном уровне. Одно из оснований металлической коробки покрыто чёрной матовой краской, другое осталось светлым и блестящим.
Выберите из предложенного перечня два утверждения, которые соответствуют результатам проведённых экспериментальных наблюдений. Укажите их номера. 1) Передача энергии от плитки к коробке осуществлялась преимущественно за счёт излучения. 2) Передача энергии от плитки к коробке осуществлялась преимущественно за счёт конвекции. 3) Передача энергии от плитки к коробке осуществлялась преимущественно за счёт теплопроводности. 4) Поверхности чёрного матового цвета по сравнению со светлыми блестящими поверхностями лучше поглощают энергию. 5) Разность уровней жидкости в коленах манометра не зависит от температуры плитки.
|
20 | При каком из процессов, указанных на графике, пар из состояния А переходит в состояние насыщения?
1) только АВ 2) только АС 3) только AD 4) АВ, АС и AD
|
21 | Какое(-ие) утверждение(-я) справедливо(-ы)? А. Городские туманы, по сравнению с туманами в горных районах, отличаются более высокой плотностью.
Б. Плотность насыщенного пара не зависит от температуры. 1) только А 2) только Б 3) и А, и Б 4) ни А, ни Б
|
22 | Какой оттенок (голубоватый или красноватый) будет иметь источник белого света, например уличный фонарь, если его рассматривать сквозь туманную дымку? Ответ поясните.
|
23 | Используя штатив с муфтой и лапкой, груз с прикреплённой к нему нитью, метровую линейку и секундомер, соберите экспериментальную установку для исследования свободных колебаний нитяного маятника. Определите время 30 полных колебаний и посчитайте частоту колебаний для случая, когда длина нити равна 50 см. В бланке ответов:
1) сделайте рисунок экспериментальной установки; 2) запишите формулу для расчёта частоты колебаний; 3) укажите результаты прямых измерений числа колебаний и времени колебаний; 4) запишите численное значение частоты колебаний маятника.
|
24 | Каким образом легче резать картон с помощью ножниц: помещая картон у края лезвий или ближе к середине ножниц? Ответ поясните.
|
25 | Какое количество керосина израсходовали двигатели самолёта, пролетевшего расстояние 500 км со средней скоростью 250 км/ч, если средняя полезная мощность его двигателей 2300 кВт? КПД двигателей равен 25 %.
|
26 | Пуля массой 8 г, движущаяся со скоростью 700 м/с, пробила доску толщиной 8 см. Определить скорость пули при вылете из доски, если средняя сила сопротивления, воздействующая на пулю в доске, равна 20 кН.
|
| Авторизация через | ![]() |
Сборник предназначен для самостоятельной подготовки к выпускным экзаменам. Благодаря тестовым заданиям из открытого банка заданий, вы можете проверить свои знания и определить, насколько подготовлены к соответствующим экзаменам. Также этот сборник будет полезен учителям, которые могут использовать его для контроля результатов освоения школьниками образовательных программ основного общего образования и интенсивной подготовки учащихся.
При выполнении заданий на экзаменах можно пользоваться черновиком. Записи в черновике не учитываются при оценивании работы. Баллы, полученные Вами за выполненные задания, суммируются. Постарайтесь выполнить как можно больше заданий и набрать наибольшее количество баллов.
Желаем успехов при сдаче экзаменов!
| < Предыдущий | Следующий > |