| < Предыдущий | Следующий > |
1 | Найдите значение выражения 16:(3,2*2)
|
2 | На рулоне обоев написано, что длина полотна обоев находится в пределах 10 м ± 6 см. Какую длину не может иметь полотно при этом условии? 1) 9,95 м; 2) 10,04 м; 3) 10,98 м; 4) 10,06 м
|
3 | На координатной прямой отмечено число a.
Какое из утверждений относительно этого числа является верным? 1) 8-а>0; 2) 8-а<0; 3) а-5<0; 4) а-6>0
|
4 | Найдите значение выражения
|
5 | На рисунке показано, как изменялась температура воздуха на протяжении одних суток. По горизонтали указано время суток, по вертикали — значение температуры в градусах Цельсия. Сколько часов во второй половине суток температура не превышала 30°?
|
6 | Найдите корень уравнения
|
7 | За 18 минут велосипедист проехал 4 километра. Сколько километров он проедет за 27 минут, если будет ехать с той же скоростью? Решение. Средняя скорость велосипедиста равна
Тогда за время t=27 мин он проедет:
Ответ: 6. |
8 | На диаграмме показано распределение земель по категориям Уральского, Приволжского, Южного и Дальневосточного федеральных округов. Определите по диаграмме, в каком округе доля земель сельскохозяйственного назначения наименьшая.
1) Уральский ФО 2) Приволжский ФО 3) Южный ФО 4) Дальневосточный ФО
|
9 | У бабушки 20 чашек: 10 с красными цветами, остальные с синими. Бабушка наливает чай в случайно выбранную чашку. Найдите вероятность того, что это будет чашка с синими цветами.
|
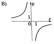
10 | Установите соответствие между графиками функций и формулами, которые их задают. Графики:
Формулы: 1)
|
11 | Последовательность (
|
12 | Найдите значение выражения
|
13 | Центростремительное ускорение при движении по окружности (в м/с2) можно вычислить по формуле a=w^2*R где w — угловая скорость (в с-1), a R — радиус окружности. Пользуясь этой формулой, найдите радиус R (в метрах), если угловая скорость равна 7,5 с-1, а центростремительное ускорение равно 337,5 м/с2.
|
14 | Укажите неравенство, решение которого изображено на рисунке.
1)
|
15 | Паркет состоит из прямоугольных дощечек со сторонами 5 см и 20 см. Паркет продаётся упаковками по 2 кв. м в одной упаковке. Сколько дощечек в такой упаковке?
|
16 | Медиана равностороннего треугольника равна 13√3. Найдите его сторону.
|
17 | В окружности с центром О отрезки АС и BD — диаметры. Угол AOD равен 50°. Найдите угол АСВ. Ответ дайте в градусах.
|
18 | Найдите площадь ромба, если его диагонали равны 32 и 4.
|
19 | На клетчатой бумаге с размером клетки 1x1 отмечены три точки: A, B и C, Найдите расстояние от точки A до прямой BC.
|
20 | Какие из следующих утверждений верны? 1) Если диагонали параллелограмма равны, то он является ромбом. 2) Сумма острых углов прямоугольного треугольника равна 90°. 3) Через точку, не лежащую на данной прямой, можно провести прямую, параллельную этой прямой.
|
21 | Решите неравенство
|
22 | Игорь и Паша красят забор за 9 часов. Паша и Володя красят этот же забор за 12 часов, а Володя и Игорь — за 18 часов. За сколько минут мальчики покрасят забор, работая втроём?
|
23 | Постройте график функции
|
24 | Точка Н является основанием высоты, проведённой из вершины прямого угла В треугольника ABC к гипотенузе АС. Найдите АВ, если АН = 9, АС = 36.
|
25 | Через точку О пересечения диагоналей параллелограмма ABCD проведена прямая, пересекающая стороны АВ и CD в точках Е и F соответственно. Докажите, что АЕ = CF.
|
| Авторизация через | ![]() |
Сборник предназначен для самостоятельной подготовки к выпускным экзаменам. Благодаря тестовым заданиям из открытого банка заданий, вы можете проверить свои знания и определить, насколько подготовлены к соответствующим экзаменам. Также этот сборник будет полезен учителям, которые могут использовать его для контроля результатов освоения школьниками образовательных программ основного общего образования и интенсивной подготовки учащихся.
При выполнении заданий на экзаменах можно пользоваться черновиком. Записи в черновике не учитываются при оценивании работы. Баллы, полученные Вами за выполненные задания, суммируются. Постарайтесь выполнить как можно больше заданий и набрать наибольшее количество баллов.
Желаем успехов при сдаче экзаменов!
| < Предыдущий | Следующий > |