ЕГЭ и ОГЭ
Главная

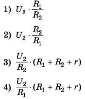
Решение 3053. Два резистора с сопротивлениями R1 и R2 подключены к источнику тока с внутренним сопротивлением r (см. рисунок). Напряжение на втором резисторе равно U2. Чему равны напряжение на первом резисторе и ЭДС

Задание 18. Два резистора с сопротивлениями R1 и R2 подключены к источнику тока с внутренним сопротивлением r (см. рисунок). Напряжение на втором резисторе равно U2. Чему равны напряжение на первом резисторе и ЭДС источника?

Установите соответствие между физическими величинами и формулами, по которым их можно рассчитать.

ФИЗИЧЕСКИЕ ВЕЛИЧИНЫ

А) напряжение на резисторе R1

Б) ЭДС источника

ФОРМУЛЫ

Решение.

А) Через резисторы R1 и R2 будет протекать один и тот же ток I=U2/R2, так как они подключены последовательно. Тогда напряжение на сопротивлении R1 можно вычислить по закону Ома как . Формула под номером 1.

Б) ЭДС источника можно найти из закона Ома для полной цепи:

или в виде

Формула под номером 3.

Ответ: 13.


Другие задания:

Темы раздела

Для наших пользователей доступны следующие материалы: