ЕГЭ и ОГЭ
Главная

Решение 2653. Электрическая цепь, схема которой изображена на рисунке, подключена к аккумулятору. Напряжение между полюсами аккумулятора равно U0, а показания идеальных амперметра и вольтметра равны соответственно I

Задание 18. Электрическая цепь, схема которой изображена на рисунке, подключена к аккумулятору. Напряжение между полюсами аккумулятора равно U0, а показания идеальных амперметра и вольтметра равны соответственно I и U.

Установите соответствие между физическими величинами и формулами, по которым их можно рассчитать. Внутренним сопротивлением аккумулятора пренебречь.

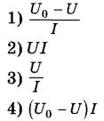
ФИЗИЧЕСКИЕ ВЕЛИЧИНЫ

1) сопротивление лампочки

2) мощность, потребляемая лампочкой

ФОРМУЛЫ

Решение.

1) Сопротивление на лампочке можно вычислить по закону Ома , где  - падение напряжения на лампочке. В результате, имеем:

формула под номером 1.

2) Мощность, потребляемая лампочкой, можно определить по формуле

формула под номером 4.

Ответ: 14.


Другие задания:

Темы раздела

Для наших пользователей доступны следующие материалы: