ЕГЭ и ОГЭ
Главная

Решение 2942. Шайба массой m, скользящая по гладкой горизонтальной поверхности со скоростью v абсолютно неупруго сталкивается с покоящейся шайбой массой М. Удар центральный. Установите соответствие между физическими

Задание 7. Шайба массой m, скользящая по гладкой горизонтальной поверхности со скоростью v абсолютно неупруго сталкивается с покоящейся шайбой массой М. Удар центральный.

Установите соответствие между физическими величинами и формулами, выражающими их в рассматриваемой задаче.

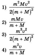
ФИЗИЧЕСКИЕ ВЕЛИЧИНЫ

А) кинетическая энергия налетающей шайбы после столкновения

Б) импульс покоившейся шайбы после столкновения

ФОРМУЛЫ

Решение.

Согласно закону сохранения энергии, в данном случае, можно записать следующее равенство:

,

откуда

,

где u – скорость двух шайб после удара.

А) Кинетическая энергия налетающей шайбы после столкновения, равна

Формула под номером 3.

Б) Импульс покоившейся шайбы после столкновения, равен:

Формула под номером 2.

Ответ: 32.


Другие задания:

Темы раздела

Для наших пользователей доступны следующие материалы: