| < Предыдущий | Следующий > |
1 | Для каждого физического понятия из первого столбца подберите соответствующий пример из второго столбца.
|
2 | Шарик равноускоренно скатывается по наклонной плоскости из состояния покоя. Начальное положение шарика и его положения через одну и две секунды от начала движения показаны на рисунке.
Через три секунды от начала движения шарик будет находиться у отметки 1) 1; 2) 2; 3) 3; 4) 4
|
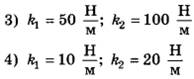
3 | Для двух разных пружин ученик измерял силу упругости, возникающую при подвешивании к ним груза, и их удлинение. В таблице представлены значения измеренных величин.
По результатам эксперимента можно сделать вывод:
|
4 | Искусственный спутник Земли, масса которого равна m, равномерно движется по круговой орбите радиусом R. Работа, совершаемая силой тяжести за время, равное периоду обращения, равна 1) mgR; 2) πmgR; 3) 2πmgR; 4) 0
|
5 | Алюминиевый кубик опустили сначала в воду, а затем в керосин. Сравните значения выталкивающей силы, действующей на кубик в воде F1 и в керосине F2. 1) F1 = F2 2) F1 = 0,8F2 3) F1 = 1,25F2 4) соотношение сил зависит от внешнего давления
|
6 | Под колокол воздушного насоса поместили завязанный надутый резиновый шарик (см. рисунок). Затем из-под колокола стали откачивать часть воздуха. Как в процессе откачки воздуха изменяются объём шарика и давление воздуха в нём?
Для каждой величины определите соответствующий характер изменения: 1) увеличивается 2) уменьшается 3) не изменяется
|
7 | Тело массой 2 кг падает с высоты 20 м из состояния покоя и в момент удара о землю имеет скорость 14 м/с. Чему равна работа силы сопротивления воздуха?
|
8 | Если герметично закрытую бутылку с небольшим количеством воды охладить, то давление пара внутри бутылки 1) уменьшится только за счёт уменьшения плотности пара 2) уменьшится только за счёт уменьшения скорости движения молекул 3) уменьшится за счёт уменьшения плотности водяного пара и уменьшения скорости движения молекул 4) не изменится
|
9 | В справочнике физических свойств различных материалов представлена следующая таблица.
* Плотность расплавленного металла считать практически равной его плотности в твёрдом состоянии. Используя данные таблицы, выберите из предложенного перечня два верных утверждения. Укажите их номера. 1) Кольцо из серебра нельзя расплавить в алюминиевой посуде. 2) Алюминиевая проволока утонет в расплавленном цинке. 3) Для плавления 3 кг цинка, взятого при температуре плавления, потребуется такое же количество теплоты, что и для плавления 2 кг меди при её температура плавления. 4) Свинцовый шарик будет плавать в расплавленной меди при частичном погружении. 5) Плотность алюминия почти в 3 раза больше плотности меди.
|
10 | Чему равна масса паров спирта, если при их конденсации при температуре кипения и при последующем охлаждении до 28 °С выделяется количество теплоты 20 400 Дж?
|
11 | Из какого материала может быть сделан стержень, соединяющий электроскопы, изображённые на рисунке?
А. Медь. Б. Стекло. 1) только А 2) только Б 3) и А, и Б 4) ни А, ни Б
|
12 | По проводнику течёт постоянный электрический ток. Сила тока в проводнике равна 0,25 А. На каком из рисунков отображена зависимость величины заряда, проходящего через проводник, от времени?
|
13 | В большую катушку, замкнутую на гальванометр, вставлена малая катушка, соединённая с источником тока. Зависимость силы тока I в малой катушке от времени t показана на графике. В какой(-ие) промежуток(-ки) времени в большой катушке возникает индукционный ток?
1) только 0-1 2) только 1-2 3) только 1-2 и 2-3 4) 0-3
|
14 | На каком рисунке правильно изображён ход светового луча через треугольную стеклянную призму в воздухе?
|
15 | Красный луч света переходит из воздуха в воду. Установите соответствие между физическими величинами и их возможными изменениями при этом. Для каждой физической величины «скорость распространения света», «частота световой волны» определите соответствующий характер изменения. 1) увеличивается 2) уменьшается 3) не изменяется
|
16 | Три проводника соединены, как показано на рисунке. Сопротивления проводников: R1 = 6 Ом, R2 = 8 Ом, R3 = 8 Ом. Какое напряжение показывает вольтметр на параллельно соединённых проводниках R2 и R3, если напряжение на проводнике R1 равно 24 В?
|
17 | В нейтральном атоме число электронов равно 1) числу нейтронов в ядре 2) числу протонов в ядре 3) суммарному числу нейтронов и протонов в ядре 4) разности между числом протонов и нейтронов в ядре
|
18 | В таблице приведены результаты экспериментальных измерений площади поперечного сечения S, длины L и электрического сопротивления R для трёх проводников, изготовленных из железа или никелина.
На основании проведённых измерений можно утверждать, что электрическое сопротивление проводника 1) зависит от его материала 2) не зависит от его материала 3) увеличивается при увеличении его длины 4) уменьшается при увеличении площади его поперечного сечения
|
19 | В два цилиндрических сосуда налили равное количество воды, находящейся при комнатной температуре (см. рисунок). В результате наблюдений было отмечено, что вода во втором сосуде испарилась быстрее.
Выберите из предложенного перечня два утверждения, которые соответствуют результатам проведённых экспериментальных наблюдений. Укажите их номера. 1) Процесс испарения воды происходит при комнатной температуре. 2) Скорость испарения жидкости увеличивается с увеличением её температуры. 3) Скорость испарения жидкости зависит от площади её поверхности. 4) Скорость испарения жидкости зависит от рода жидкости. 5) При наличии ветра испарение воды происходит быстрее.
|
20 | При полиморфном превращении металла сохраняется его 1) кристаллическое строение 2) химический состав 3) прочность 4) теплопроводность
|
21 | Какие утверждения являются верными? А. Полиморфные превращения наблюдаются только у металлов. Б. При полиморфном превращении необратимо изменяются физические и химические свойства вещества. 1) только А; 2) только Б; 3) и А, и Б; 4) ни А, ни Б
|
22 | На рисунке представлен график зависимости температуры от времени в процессе охлаждения железа. Первоначально железо находилось в жидком состоянии, температура плавления железа равна 1539 °С. Скорость отвода тепла в процессе охлаждения оставалась постоянной. Сколько полиморфных превращений кристаллического железа наблюдалось в процессе охлаждения? Ответ поясните.
|
23 | Используя рычаг, три груза, штатив и динамометр, соберите установку для исследования равновесия рычага. Три груза подвесьте слева от оси вращения рычага следующим образом: два груза на расстоянии 6 см и один груз на расстоянии 12 см от оси. Определите момент силы, которую необходимо приложить к правому концу рычага на расстоянии 6 см от оси вращения рычага для того, чтобы он оставался в равновесии в горизонтальном положении. В бланке ответов: 1) зарисуйте схему экспериментальной установки; 2) запишите формулу для расчёта момента силы; 3) укажите результаты измерений приложенной силы и длины плеча; 4) запишите числовое значение момента силы.
|
24 | Каким пятном (более светлым или более тёмным по сравнению с сухим асфальтом) будет казаться водителю ночью лужа в свете фар его автомобиля? Ответ поясните.
|
25 | Медный шар, в котором имеется воздушная полость, опущен в керосин. Наружный объём шара 0,1 м3. Найдите объём воздушной полости, если шар плавает на поверхности керосина, погрузившись в него на 0,89 своего объёма.
|
26 | В снежный сугроб, имеющий температуру 0 °С, бросили раскалённый до температуры 300 °С медный шар массой 2,2 кг. Какова масса расплавленного снега? Потерями энергии в окружающую среду и испарением воды пренебречь.
|
| Авторизация через | ![]() |
Сборник предназначен для самостоятельной подготовки к выпускным экзаменам. Благодаря тестовым заданиям из открытого банка заданий, вы можете проверить свои знания и определить, насколько подготовлены к соответствующим экзаменам. Также этот сборник будет полезен учителям, которые могут использовать его для контроля результатов освоения школьниками образовательных программ основного общего образования и интенсивной подготовки учащихся.
При выполнении заданий на экзаменах можно пользоваться черновиком. Записи в черновике не учитываются при оценивании работы. Баллы, полученные Вами за выполненные задания, суммируются. Постарайтесь выполнить как можно больше заданий и набрать наибольшее количество баллов.
Желаем успехов при сдаче экзаменов!
| < Предыдущий | Следующий > |