| < Предыдущий | Следующий > |
1 | Установите соответствие между физическими величинами и единицами физических величин в системе СИ.
|
2 | На рисунке представлен график зависимости координаты от времени для тела, движущегося вдоль оси Ох. Модуль перемещения тела за время от 0 до 8 с равен
1) 0 м 2) 10 м 3) 20 м 4) 30 м
|
3 | Брусок находится на шероховатой горизонтальной плоскости. Коэффициент трения между бруском и плоскостью равен 0,2. В некоторый момент времени на брусок начинает действовать горизонтальная сила F. На рисунке изображён график зависимости модуля силы трения Fтр, возникающей между бруском и плоскостью, от модуля силы F. Согласно графику масса бруска равна
1) 2 кг; 2) 4 кг; 3) 6 кг; 4) 8 кг
|
4 | Локомотив движется по инерции и автоматически сцепляется с неподвижным вагоном. Как при этом меняется по модулю импульс локомотива и импульс вагона относительно земли? 1) импульс локомотива уменьшается, импульс вагона не меняется 2) импульс локомотива уменьшается, импульс вагона увеличивается 3) импульс локомотива увеличивается, импульс вагона уменьшается 4) импульс локомотива не меняется, импульс вагона увеличивается
|
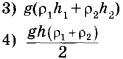
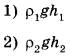
5 | В цилиндрический сосуд налили две несмешивающиеся жидкости плотностью 1 и 2 (см. рисунок).
Давление жидкостей в точке А равно
|
6 | Пружинный маятник совершает незатухающие гармонические колебания между точками A и B, Точка О соответствует положению равновесия маятника. Как меняется потенциальная и полная механическая энергия маятника при переходе из точки В в точку О?
Установите соответствие между физическими величинами и их возможными изменениями. Для каждой величины определите соответствующий характер изменения: 1) увеличивается 2) уменьшается 3) не изменяется
|
7 | Какую по величине работу должна совершить сила трения для полной остановки тела массой 1000 кг, движущегося со скоростью 10 м/с?
|
8 | Какое(-ие) из утверждений верно(-ы)? А. Диффузию можно наблюдать в газах. Б. Скорость диффузии зависит от агрегатного состояния вещества. 1) только А 2) только Б 3) и А, и Б 4) ни А, ни Б
|
9 | В калориметр с водой добавили лёд. На рисунке представлены графики зависимости температуры от времени для воды и льда в калориметре. Теплообмен с окружающей средой пренебрежимо мал.
Используя данные рисунка, выберите из предложенного перечня два верных утверждения. Укажите их номера. 1) Конечная температура смеси равна 0 °С. 2) Участок ВБ соответствует процессу плавления льда в калориметре. 3) Точка Б соответствует времени, когда в системе вода — лёд установилось состояние теплового равновесия. 4) К моменту установления теплового равновесия весь лёд в калориметре растаял. 5) Процесс, соответствующий участку АБ, идёт с поглощением энергии.
|
10 | Двигатель трактора совершил полезную работу 23 МДж, израсходовав при этом 2 кг бензина. Найдите КПД двигателя трактора.
|
11 | К двум заряженным шарикам, подвешенным на изолирующих нитях, подносят положительно заряженный шар на изолирующей ручке. В результате положение шариков изменяется так, как показано на рисунке (пунктирными линиями указано первоначальное положение).
Это означает, что 1) оба шарика заряжены отрицательно 2) оба шарика заряжены положительно 3) первый шарик заряжен положительно, а второй — отрицательно 4) первый шарик заряжен отрицательно, а второй — положительно
|
12 | Концы медного, железного и алюминиевого проводников одинаковых размеров соединили последовательно и подключили к источнику постоянного напряжения. Сравните напряжения на концах каждого проводника.
|
13 | Стальную иглу расположили между полюсами магнита. Через некоторое время игла намагнитилась. Каким полюсам будут соответствовать точки 1 и 2 иглы?
1) 1 — северному полюсу, 2 — южному 2) 2 — северному полюсу, 1 — южному 3) и 1, и 2 — северному полюсу 4) и 1, и 2 — южному полюсу
|
14 | Закон прямолинейного распространения света объясняет А. лунное затмение. Б. дисперсию света. Правильный ответ 1) только А 2) только Б 3) только Б и В 4) А, Б и В
|
15 | Две проводящие спирали подключают к источникам постоянного тока (см. рисунок).
Используя рисунок, выберите из предложенного перечня два верных утверждения. Укажите их номера. 1) При подключении к источникам постоянного тока обе катушки превращаются в электромагниты. 2) Точки А и В соответствуют одинаковым полюсам электромагнитов. 3) При подключении к источникам постоянного тока между катушками 1 и 2 действуют силы магнитного притяжения. 4) При подключении к источникам постоянного тока между витками в каждой катушке действуют силы магнитного отталкивания. 5) В пространстве вокруг катушек существует электростатическое поле.
|
16 | На рисунке приведён график зависимости напряжения на концах никелинового провода длиной 5 м от силы тока в нём. Чему равна площадь поперечного сечения провода?
|
17 | Какая частица взаимодействует с ядром марганца в следующей ядерной реакции:
1) протон 2) нейтрон 3) электрон 4) альфа-частица
|
18 | Для экспериментального определения зависимости периода колебаний Т математического маятника от его длины L ученик измерял время, за которое маятник совершал 10 колебаний. Результаты десяти таких измерений он занес в таблицу. Вычислив период колебаний для каждого случая, он построил график зависимости T(L) (см. рисунок).
Какое(-ие) из утверждений соответствует(-ют) результатам эксперимента? А. С уменьшением длины математического маятника период его колебаний уменьшается. Б. Период колебаний Т маятника прямо пропорционален его длине L. 1) только А 2) только Б 3) и А, и Б 4) ни А, ни Б
|
19 | Ученик провёл эксперимент по изучению выталкивающей силы, действующей на тело, полностью погружённое в жидкость, причём для эксперимента он использовал различные жидкости и сплошные цилиндры разного объёма, изготовленные из разных материалов. Результаты экспериментальных измерений объёма цилиндров V и выталкивающей силы
Выберите из предложенного перечня два утверждения, которые соответствуют результатам проведённых экспериментальных наблюдений. Укажите их номера. 1) Выталкивающая сила не зависит от плотности материала цилиндра. 2) Выталкивающая сила не зависит от рода жидкости. 3) Выталкивающая сила увеличивается при увеличении объёма тела. 4) Выталкивающая сила не зависит от объёма тела. 5) Выталкивающая сила, действующая на тело при погружении в масло, больше выталкивающей силы, действующей на это тело при погружении в воду.
|
20 | Основой гелиоцентрической модели мира является утверждение о том, что 1) Солнце находится в центре мира, и все планеты обращаются вокруг Солнца 2) Земля вращается вокруг своей оси 3) Солнечная система движется во Вселенной 4) все планеты движутся друг относительно друга и относительно Солнца
|
21 | Выберите верное утверждение. 1) По мере удаления от Солнца увеличивается радиус планет. 2) Планеты-гиганты характеризуются меньшей частотой вращения вокруг своей оси по сравнению с планетами земной группы. 3) По мере удаления от Солнца период обращения планет увеличивается. 4) Во времена Птолемея не были известны планеты Уран и Сатурн.
|
22 | Можно или нет наблюдать такое явление, как болид, находясь на Луне? Ответ поясните.
|
23 | Определите электрическое сопротивление резистора R2. Для этого соберите экспериментальную установку, используя источник тока, вольтметр, амперметр, ключ, реостат, соединительные провода и резистор, обозначенный R2. При помощи реостата установите в цепи силу тока 0,5 А. В бланке ответов: 1) нарисуйте электрическую схему эксперимента; 2) запишите формулу для расчёта электрического сопротивления; 3) укажите результаты измерения напряжения при силе тока 0,5 А; 4) запишите численное значение электрического сопротивления.
|
24 | Кольцо из медной проволоки быстро вращается между полюсами сильного магнита (см. рисунок). Будет ли происходить нагревание кольца? Ответ поясните.
|
25 | Вагон массой 20 т, движущийся по горизонтальному пути со скоростью 2 м/с, сталкивается с другим вагоном такой же массы, движущимся ему навстречу со скоростью 1 м/с, и автоматически с ним сцепляется. С каким ускорением будут сдвигаться вагоны после сцепки, если они пройдут до полной остановки 25 м?
|
26 | Определите массу никелиновой проволоки площадью поперечного сечения 1 мм2, из которой изготовлен реостат, если при напряжении на его концах 24 В сила протекающего тока равна 3 А. Плотность никелина принять равной 8800 кг/м3.
|
| Авторизация через | ![]() |
Сборник предназначен для самостоятельной подготовки к выпускным экзаменам. Благодаря тестовым заданиям из открытого банка заданий, вы можете проверить свои знания и определить, насколько подготовлены к соответствующим экзаменам. Также этот сборник будет полезен учителям, которые могут использовать его для контроля результатов освоения школьниками образовательных программ основного общего образования и интенсивной подготовки учащихся.
При выполнении заданий на экзаменах можно пользоваться черновиком. Записи в черновике не учитываются при оценивании работы. Баллы, полученные Вами за выполненные задания, суммируются. Постарайтесь выполнить как можно больше заданий и набрать наибольшее количество баллов.
Желаем успехов при сдаче экзаменов!
| < Предыдущий | Следующий > |