ЕГЭ и ОГЭ
Главная

Источник задания: Задание 12. ЕГЭ 2016 Физика. Демоверсия. Решение. Ответ.

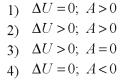
Задание 12. Установите соответствие между графиками процессов, в которых участвует 1 моль идеального газа, и значениями физических величин, характеризующих эти процессы ( - изменение внутренней энергии; А - работа газа).

К каждой позиции первого столбца подберите соответствующую позицию из второго столбца и запишите в таблицу выбранные цифры под соответствующими буквами.

ГРАФИКИ

ЗНАЧЕНИЯ ФИЗИЧЕСКИХ ВЕЛИЧИН

Решение.

Рассмотрим график под буквой «А» в координатах «давление» - «объем». Это означает, что график соответствует изотермическому процессу (температура не меняется). В соответствии с первым законом термодинамики для изопроцессов известно, что если температура постоянна, то изменение внутренней энергии также равно 0.

Для определения величины работы, совершаемой газом, запишем формулу для изотермического процесса:

,

где  - изменение давления;  - изменение объема. Из графика видно, что , а . Подставим эти величины в формулу для работы, получим:

,

то есть работа . Следовательно, графику «А» соответствует выражение под номером 4.

Рассмотрим график под буквой «Б», он дан в координатах «объем» - «температура», т.е. наблюдаем изобарный процесс, при котором давление постоянно. Из графика следует, что происходит одновременное увеличение и объема и температуры. В этом случае изменение внутренней энергии будет увеличиваться, т.е. . Для изобарного процесса работа выражается формулой

,

и учитывая положительное изменение объема, т.е. , получаем, что . В итоге имеем, что графику под буквой «Б» соответствуют выражения под номером 2.

Ответ: А4, Б2.


Темы раздела

Для наших пользователей доступны следующие материалы: